Bài tập phần điện xoay chiều



Bài tập phần điện xoay chiều
Bài tập phần điện xoay chiều giúp các bạn ôn tập và củng cố kiến thức lại phần điện xoay chiều, mỗi câu hỏi sẽ có phần đáp án đi kèm phía dưới, giúp các bạn tra cứu một cách thuận tiện. Đây cũng là tài liệu hữu ích để các bạn ôn thi đại học, THPT Quốc gia, học sinh giỏi môn Vật lý, mời các bạn tham khảo chi tiết tại đây nhé.
- 101 câu hỏi trắc nghiệm điện xoay chiều hay và khó
- Tuyển tập đề thi đại học - cao đẳng phần điện xoay chiều
VnDoc.com xin gửi tới bạn đọc bài viết Bài tập phần điện xoay chiều để bạn đọc cùng tham khảo. Bài viết được tổng hợp gồm có 57 bài tập về phần điện xoay chiều. Bài tập gồm có tính công suất tiêu thị trên đoạn mạch, tính độ lệch pha, tính giá trị công suất... Bài tập có đáp án chi tiết đi kèm theo. Mời các bạn cùng tham khảo chi tiết và tải về tại đây nhé.

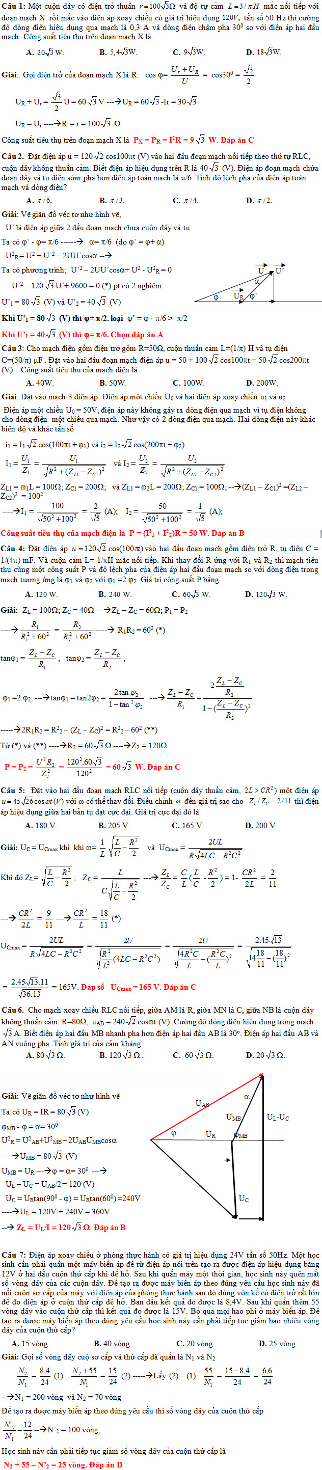
Câu 8. Đoạn mạch xoay chiều AB gồm các đoạn mạch : đoạn mạch AM chứa điện trở thuần R, đoạn mạch MN chứa tụ điện C và đoạn mạch NB chứa cuộn dây mắc nối tiếp nhau. Đặt vào hai đầu A,B điện áp xoay chiều u = 120 coswt (V). Khi mắc am pe kế lý tưởng vào N và B thì số chỉ của ampe kế là
A. Thay ampe kế bằng vôn kế lý tưởng thì vôn kế chỉ 60V và lúc này điện áp giữa N và B lệch pha 600 so với điện áp giữa hai đầu đoạn mạch. Tổng trở của cuộn dây là :
A. 20 W.
B. 40W.
C. 40 W.
D. 60W.
Trên đây VnDoc.com vừa giới thiệu tới các bạn Bài tập phần điện xoay chiều, mong rằng qua đây các bạn có thể học tập tốt môn Vật lý 12. Mời các bạn cùng tham khảo thêm các môn Toán 12, Ngữ văn 12, Tiếng Anh 12, đề thi học kì 1 lớp 12, đề thi học kì 2 lớp 12...
Mời bạn đọc cùng tham gia nhóm Tài liệu học tập lớp 12 để có thêm tài liệu học tập nhé