Bài tập Toán lớp 6: Tính chất cơ bản của phân số
Bài tập Tính chất cơ bản của phân số
Bài tập Toán lớp 6: Tính chất cơ bản của phân số bao gồm 2 phần Trắc nghiệm và Tự luận có đáp án chi tiết cho từng phần giúp các em học sinh ôn tập, củng cố kỹ năng giải Toán lớp 6, chuẩn bị cho các bài thi môn Toán lớp 6 trong năm học. Mời các em học sinh tham khảo chi tiết.
Bài tập Tính chất cơ bản của phân số Toán lớp 6
I. Câu hỏi trắc nghiệm
Câu 1: Chọn câu sai. Với a; b; m ∈ Z; b; m ≠ 0 thì

Đáp án

⇒ Đáp án B sai
Chọn đáp án B
Câu 2: Phân số a/b là phân số tối giản khi ƯC(a; b) bằng
A. {1; -1}
B. {2}
C. {1; 2}
D. {1; 2; 3}
Đáp án
Phân số tối giản (hay phân sô không rút gọn được nữa) là phân số mà cả tử và mẫu chỉ có ước chung là 1 và -1
Chọn đáp án A
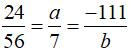
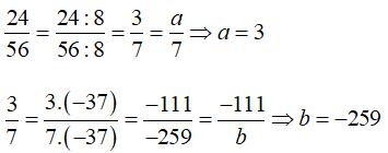
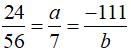
Câu 3: Tìm số a; b biết 
A. a = 3, b = -259
B. a = -3, b = -259
C. a = 3, b = 259
D. a = -3, b = 259
Đáp án
Ta có:

Vậy a = 3, b = -259
Chọn đáp án A
Câu 4: Phân số nào dưới đây là phân số tối giản?
A. -2/4
B. -15/-96
C. 13/27
D. -29/58
Đáp án
Đáp án A: ƯCLN(2; 4) = 2 ≠ 1 nên loại
Đáp án B: ƯCLN(15; 96) = 3 ≠ 1 nên loại
Đáp án C: ƯCLN(13; 27) = 1 ≠ 1 nên C đúng
Đáp án D: ƯCLN(29; 58) = 29 ≠ 1 nên D loại
Chọn đáp án C
Câu 5: Nhân cả tử số và mẫu số của phân số 14/23 với số nào để được phân số 168/276
A. 14
B. 23
C. 12
D. 22
Đáp án
Ta có: 168:14 = 12 và 276:23 = 12 nên số cần tìm là 12
Chọn đáp án C
II. Bài tập tự luận
Câu 1: Viết một phân số mới bằng phân số 5/9 sao cho mẫu của phân số mới gấp 7 lần mẫu của phân số cũ
Đáp án
Ta có: 
Vậy phân số mới cần tìm là 35/63
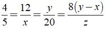
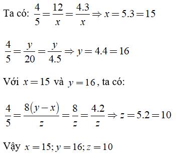
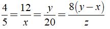
Câu 2: Tìm các số x, y, z thỏa mãn:

Đáp án

Lý thuyết và bài tập Tính chất cơ bản của phân số lớp 6:
- Giải bài tập trang 11 SGK Toán lớp 6 tập 2: Tính chất cơ bản của phân số
- Giải bài tập SBT Toán 6 bài 3: Tính chất cơ bản của phân số
- Một số bài tập về biến đổi phân số
Trên đây VnDoc tổng hợp các kiến thức Bài tập Toán lớp 6: Tính chất cơ bản của phân số, ngoài ra các em học sinh có thể tham khảo các bài giải SGK môn Toán lớp 6, Môn Ngữ văn 6, Môn Vật lý 6, môn Sinh Học 6, Lịch sử 6, Địa lý 6....và các đề thi học kì 1 lớp 6 và đề thi học kì 2 lớp 6 để chuẩn bị cho các bài thi đề thi học kì đạt kết quả cao.