Bảng đạo hàm cơ bản
Bảng đạo hàm cơ bản được VnDoc sưu tầm và chia sẻ. Dưới đây là các quy tắc cơ bản, bảng đạo hàm các hàm số cơ bản, đạo hàm cấp cao, đạo hàm của phân thức hữu tỉ, đạo hàm các hàm lượng giác chính xác và đầy đủ nhất.
Ngoài ra, VnDoc.com đã thành lập group chia sẻ tài liệu học tập THPT miễn phí trên Facebook: Tài liệu học tập lớp 11. Mời các bạn học sinh tham gia nhóm, để có thể nhận được những tài liệu mới nhất.
- 650 câu hỏi trắc nghiệm quan hệ song song
- 520 câu hỏi trắc nghiệm đạo hàm có lời giải chi tiết
- 350 câu hỏi trắc nghiệm phương trình lượng giác
- 300 câu trắc nghiệm đạo hàm theo chủ đề có đáp án
Bảng đạo hàm đầy đủ
Quy tắc cơ bản của đạo hàm
- Quy tắc cơ bản
\({\left( c \right)^\prime } = 0\) (với c là hằng số)
\({\left( {uv} \right)^\prime } = {\left( u \right)^\prime }v + {\left( v \right)^\prime }u\)
\({\left( {cu} \right)^\prime } = c.{\left( u \right)^\prime }\)
\({\left( {uv{\rm{w}}} \right)^\prime } = u'v{\rm{w}} + uv'{\rm{w}} + uvw'\)
\({\left( {u \pm v} \right)^\prime } = {\left( u \right)^\prime } \pm {\left( v \right)^\prime }\) (đạo hàm của một tổng bằng tổng các đạo hàm)
\({\left( {\frac{u}{v}} \right)^\prime } = \frac{{{{\left( u \right)}^\prime }v - {{\left( v \right)}^\prime }u}}{{{v^2}}}\)
\({\left( {{x^n}} \right)^\prime } = n.{x^{n - 1}}\) (với n là hằng số tự nhiên)
- Quy tắc đạo hàm của hàm số hợp
Nếu
\(y = y(u(x))\) thì
\(y'\left( x \right) = y'\left( u \right).u'\left( x \right)\)
Bảng 1. Đạo hàm các hàm số sơ cấp cơ bản

Trong đó "tgx", "cotgx" là các kí hiệu cũ của "tanx" và "cotx".
Bảng 2. Đạo hàm của các hàm số cơ bản, thường gặp

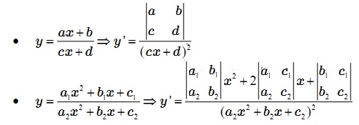
Hai hàm phân thức hữu tỉ thường gặp có đạo hàm là:

Bảng các quy tắc tính đạp hàm cơ bản:

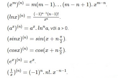
Đạo hàm cấp cao

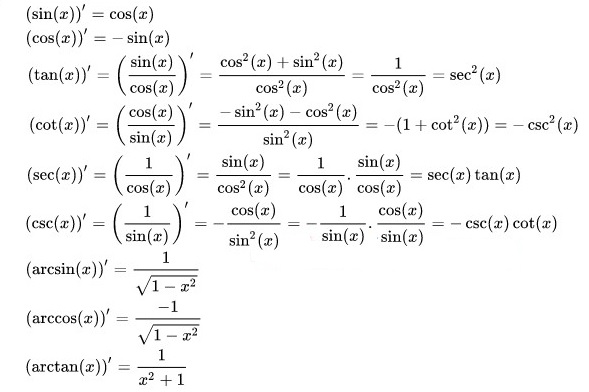
Đạo hàm các hàm lượng giác và các hàm lượng giác ngược

Trên đây là tổng hợp các công thức đạo hàm chuẩn và đầy đủ nhất dành cho các bạn. Hi vọng các bạn sẽ có thêm những kiến thức hay về phần đạo hàm để củng cố kiến thức toán học cho mình. Chúc các bạn thành công!
.............................................
Ngoài Bảng đạo hàm cơ bản. Mời các bạn học sinh còn có thể tham khảo các đề thi học kì 2 lớp 11 các môn Toán, Văn, Anh, Lý, Địa, Sinh mà chúng tôi đã sưu tầm và chọn lọc. Với đề thi học kì 2 lớp 11 này giúp các bạn rèn luyện thêm kỹ năng giải đề và làm bài tốt hơn. Chúc các bạn ôn thi tốt