Đáp án đề thi tuyển sinh lớp 10 môn Hóa chuyên tỉnh Kiên Giang năm 2021
VnDoc xin giới thiệu đề thi vào lớp 10 THPT chuyên năm 2021 môn Hóa học (chuyên) tỉnh Kiên Giang. Đề thi gồm 5 câu hỏi với thời gian 150 phút kèm theo chi tiết đáp án. Hy vọng với tài liệu này sẽ giúp ích cho các em có thêm tài liệu ôn tập, chuẩn bị tố cho kì thi vào lớp 10 sắp tới
Đề thi vào lớp 10 THPT chuyên năm 2021 môn Hóa tỉnh Kiên Giang
1. Đề thi vào lớp 10 THPT chuyên năm 2021 môn Hóa tỉnh Kiên Giang


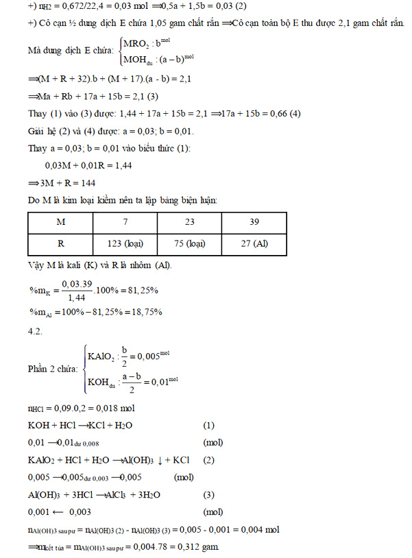
2. Đáp án đề thi vào lớp 10 THPT chuyên năm 2021 môn Hóa tỉnh Kiên Giang





Ngoài ra, VnDoc.com đã thành lập group chia sẻ tài liệu học tập THCS miễn phí trên Facebook: Tài liệu học tập lớp 10. Mời các bạn học sinh tham gia nhóm, để có thể nhận được những tài liệu mới nhất, giúp việc làm quen với môi trường học tập THPT, lớp 10 trở nên dễ dàng hơn. Hãy vào nhóm để nhận tài liệu học tập và nhận giải đáp thắc mắc các môn học nhé.
Như vậy VnDoc đã chia sẻ Đáp án đề thi tuyển sinh lớp 10 môn Hóa chuyên tỉnh Kiên Giang năm 2021. Nội dung đề thi gồm với 5 câu hỏi thời gian làm bài 120 phút. Hy vọng với đề thi này sẽ giúp ích cho các em có thêm tài liệu ôn tập, chuẩn bị tốt cho kì thi vào lớp 10 sắp tới ngoài ra các em có thể luyện tập thêm đề thi vào lớp 10 các tỉnh khác nữa nhé
- Đáp án đề thi tuyển sinh lớp 10 môn Toán Trường THPT Chuyên Quốc Học Huế năm 2021 (đề chuyên)
- Đáp án đề thi tuyển sinh lớp 10 môn Hóa chuyên Quốc Học Huế năm 2021
- Đáp án đề thi tuyển sinh lớp 10 môn Toán Kiên Giang năm 2021
- Đáp án đề thi tuyển sinh lớp 10 môn Văn tỉnh Kiên Giang năm 2021
.............................................
Ngoài Đáp án đề thi tuyển sinh lớp 10 môn Hóa chuyên tỉnh Kiên Giang năm 2021 các em tham khảo thêm tài liệu khác như Hóa lớp 9, đề thi vào lớp 10 môn Hóa, Thi vào lớp 10 môn Vật lí, Thi vào lớp 10 môn Sinh, Thi vào lớp 10 môn Toán... Việc luyện tập với đề thi vào lớp 10 năm 2021, sẽ giúp các em học sinh củng cố lại kiến thức và rút kinh nghiệm trong quá trình làm bài thi tuyển sinh vào lớp 10 sắp tới. Chúc các em ôn thi tốt