Đáp án đề thi tuyển sinh lớp 10 môn Toán Trường THPT Chuyên Quốc Học Huế năm 2021 (đề chuyên)
Đề thi vào lớp 10 môn Toán - THPT Chuyên Quốc Học Huế 2021
Đề thi vào lớp 10 môn Toán năm 2021 chuyên - THPT Chuyên Quốc Học Huế (Thừa Thiên Huế) được VnDoc sưu tầm và đăng tải dưới đây là hướng dẫn chi tiết lời giải đề thi chuyên Toán. Mời các bạn cùng tham khảo so sánh với đáp án mình đã làm nhé
- Đáp án và Đề thi vào lớp 10 năm 2021 - Tất cả các tỉnh
- Tổng hợp đề thi tuyển sinh lớp 10 môn Toán cả nước năm 2021 - 2022
Ngoài ra, VnDoc.com đã thành lập group chia sẻ tài liệu học tập THCS miễn phí trên Facebook: Tài liệu học tập lớp 9. Mời các bạn học sinh tham gia nhóm, để có thể nhận được những tài liệu mới nhất.
Đáp án đề thi vào lớp 10 môn Toán Trường THPT Chuyên Quốc Học Huế năm 2021



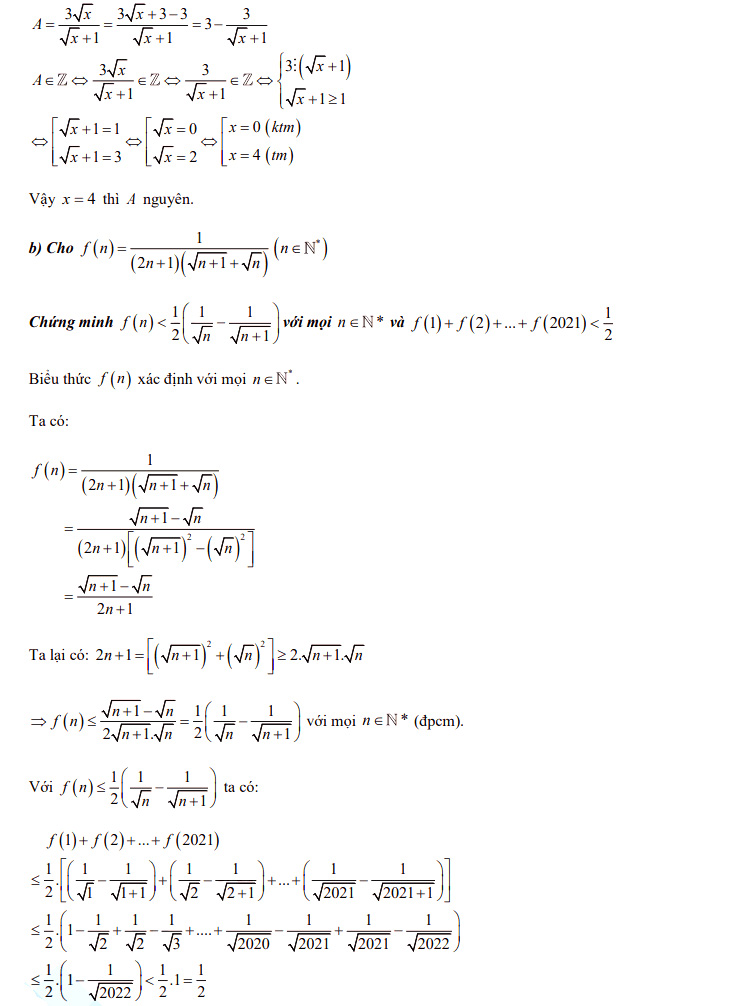
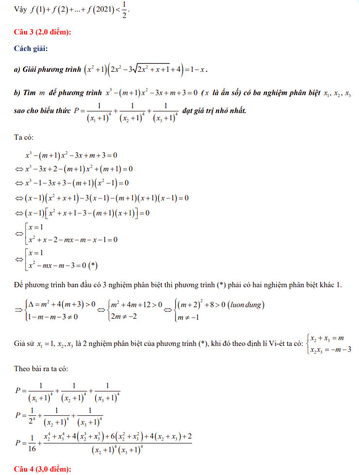
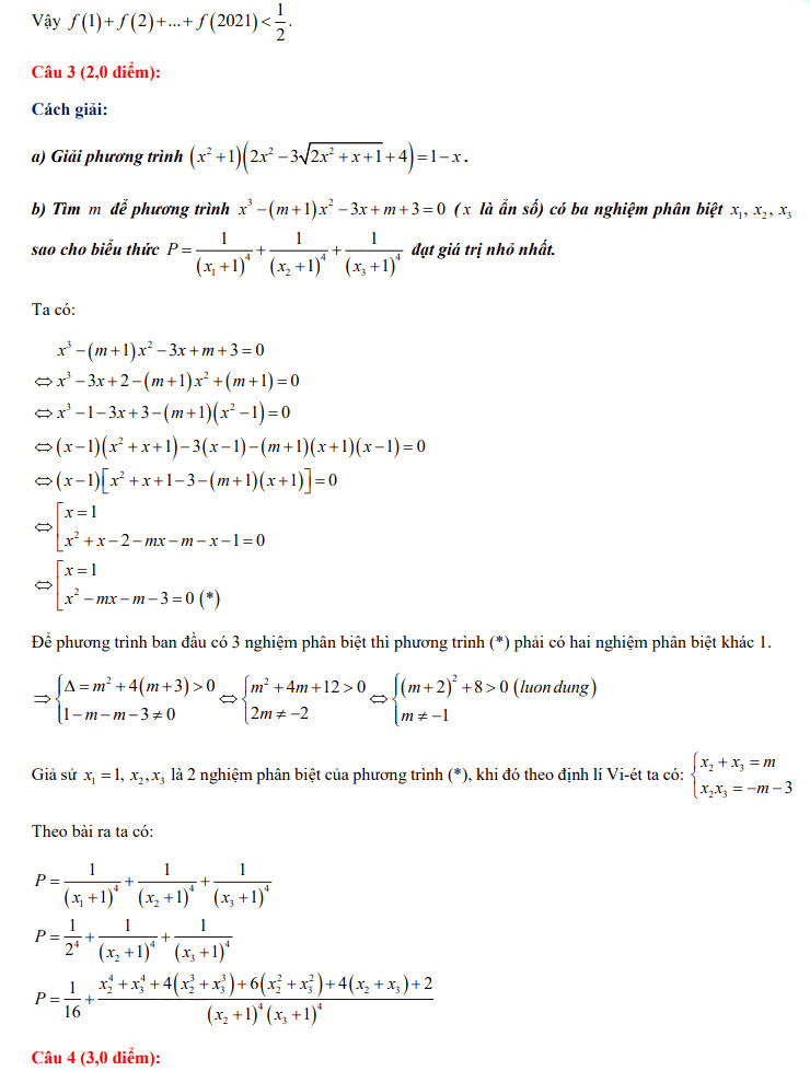
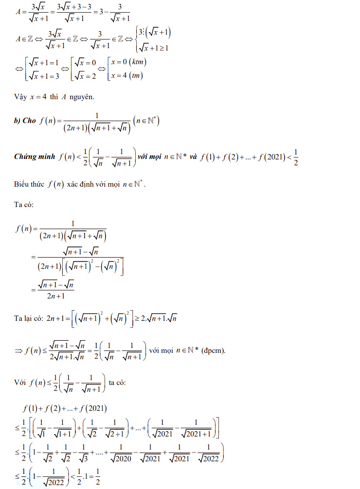
đang cập nhật
Đề thi vào lớp 10 môn Toán - THPT Chuyên Quốc Học Huế 2021

Để ôn tập và chuẩn bị tốt hơn cho kì thi vào lớp 10 các bạn tham khảo đề thi vào lớp 10 của các tỉnh khác nhé
- Đáp án đề thi tuyển sinh lớp 10 môn Toán tỉnh Quảng Trị năm 2021
- Đáp án đề thi tuyển sinh lớp 10 môn Toán tỉnh Đồng Nai năm 2021
- Đáp án đề thi tuyển sinh lớp 10 môn Toán tỉnh Quảng Ngãi năm 2021
- Đáp án đề thi tuyển sinh lớp 10 môn Toán tỉnh Tiền Giang năm 2021
- Đáp án đề thi tuyển sinh lớp 10 môn Toán tỉnh Bến Tre năm 2021
- Đáp án đề thi tuyển sinh lớp 10 môn Toán tỉnh Cần Thơ năm 2021
- Đề thi tuyển sinh lớp 10 môn Toán chuyên Hòa Bình năm 2021
- Đáp án đề thi tuyển sinh lớp 10 môn Toán tỉnh Bà Rịa - Vũng Tàu năm 2021
- Đáp án đề thi tuyển sinh lớp 10 môn Toán tỉnh Bến Tre năm 2021 (đề chuyên)
.............................................
Ngoài Đáp án đề thi tuyển sinh lớp 10 môn Toán Trường THPT Chuyên Quốc Học Huế năm 2021 (đề chuyên). Mời các bạn học sinh còn có thể tham khảo các đề thi học kì 2 lớp 9 các môn Toán, Văn, Anh, Lý, Địa, Sinh mà chúng tôi đã sưu tầm và chọn lọc. Với đề Thi vào lớp 10 năm 2026 này giúp các bạn rèn luyện thêm kỹ năng giải đề và làm bài tốt hơn. Chúc các bạn ôn thi tốt