Đề thi thử vào lớp 10 môn Toán Sở GD&ĐT Thanh Hóa năm 2020 - 2021
Đề thi thử vào lớp 10 môn Toán Sở GD&ĐT Thanh Hóa năm 2020
Đề thi thử vào lớp 10 môn Toán Sở GD&ĐT Thanh Hóa năm 2020 - 2021 được VnDoc sưu tầm và đăng tải. Nội dung đề thi gồm có 5 câu hỏi, đề thi gồm 01 trang. Với tổng thời gian học sinh làm bài thi là 120 phút, sẽ giúp ích cho các bạn học sinh ôn tập thử sức với các đề thi khác nhau. Sau đây là nội dung đề thi mời các bạn tham khảo
- Đề thi minh họa vào lớp 10 môn Toán Sở GD&ĐT Phú Thọ năm học 2020 - 2021
- Đề thi thử vào lớp 10 môn Toán Trường THCS Phú La, Hà Nội năm học 2020 - 2021
- Tổng hợp đề thi thử vào lớp 10 môn Toán cả nước năm 2021
Ngoài ra, VnDoc.com đã thành lập group chia sẻ tài liệu học tập THCS miễn phí trên Facebook: Tài liệu học tập lớp 9. Mời các bạn học sinh tham gia nhóm, để có thể nhận được những tài liệu mới nhất.

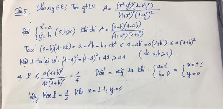
Gợi ý đáp án
Đáp án do thầy Hoàng Thế Hậu giải đáp



Đề thi thử vào lớp 10 môn Toán Sở GD&ĐT Thanh Hóa năm 2020 - 2021 được VnDoc chia sẻ trên đây với 5 câu hỏi tự luận tổng thời gian 120 phút, giúp các bạn học sinh có thêm tài liệu ôn tập chuẩn bị tốt cho kì thi sắp tới. Ngoài đề thi thử của trường THCS Sư phạm Hà Nội các bạn tham khảo các đề của các tỉnh khác nữa nhé
- Tổng hợp đề thi vào lớp 10 được tải nhiều nhất
- Bộ đề thi vào lớp 10 môn Toán
- Đề thi tham khảo vào lớp 10 môn Toán Sở GD&ĐT An Giang năm học 2020 - 2021
- Đề thi minh họa vào lớp 10 môn Ngữ văn Sở GD&ĐT Yên Bái năm học 2020 - 2021
- Đề thi minh họa vào lớp 10 môn Toán Sở GD&ĐT Khánh Hòa năm học 2020 - 2021
- Đề thi minh họa vào lớp 10 môn Toán Sở GD&ĐT Vĩnh Long năm học 2020 - 2021
- Đề thi minh họa vào lớp 10 môn Toán Sở GD&ĐT An Giang năm học 2020 - 2021
- Đề thi minh họa vào lớp 10 môn Toán Sở GD&ĐT Yên Bái năm học 2020 - 2021
- Bộ đề thi tuyển sinh lớp 10 môn toán năm 2020 - 2021
- Đề thi thử vào lớp 10 môn Toán Sở GD&ĐT Phú Thọ năm học 2020 - 2021
- Đề thi thử vào lớp 10 môn Toán Trường THCS Tân Định, Hoàng Mai
- Đề thi thử vào lớp 10 môn Toán Trường Đại học Sư Phạm Hà Nội năm học 2021 - 2022 (lần 1)
- Đề thi thử vào lớp 10 môn Toán Trường THCS Hồng Dương năm học 2020 - 2021
- Đề thi thử vào lớp 10 môn Toán năm 2021
- Đề thi thử vào lớp 10 môn Toán trường THCS & THPT Lương Thế Vinh năm 2021 - 2022 (lần 2)
- Đề thi thử vào lớp 10 môn Toán trường THPT Hàm Rồng năm 2021 - 2022
- Đề thi thử vào lớp 10 môn Toán Phòng GD&ĐT huyện Thanh Trì năm 2020 - 2021 (lần 2)
- Đề thi thử vào lớp 10 môn Ngữ văn Sở GD&ĐT Bắc Giang năm 2021 - 2022
............................................
Ngoài Đề thi thử vào lớp 10 môn Toán Sở GD&ĐT Thanh Hóa năm 2020 - 2021. Mời các bạn học sinh còn có thể tham khảo các đề thi học kì 2 lớp 9 các môn Toán, Văn, Anh, Lý, Địa, Sinh mà chúng tôi đã sưu tầm và chọn lọc. Với đề Thi vào lớp 10 năm 2021 này giúp các bạn rèn luyện thêm kỹ năng giải đề và làm bài tốt hơn. Chúc các bạn ôn thi tốt