Đề thi vào lớp 10 môn Toán trường Chuyên Lê Quý Đôn - Lai Châu năm 2019 - 2020 (đề chung)
Đề thi vào lớp 10 Toán Chuyên Lê Quý Đôn năm 2019
Đề thi vào lớp 10 môn Toán trường Chuyên Lê Quý Đôn - Lai Châu năm 2019 - 2020 (đề chung). Tài liệu giúp các bạn học sinh củng cố lại phần kiến thức đã học và kỹ năng giải đề thi, biết cách phân bổ thời gian làm bài sao cho hợp lý. Mời các bạn cùng tham khảo
- Đáp án đề thi vào lớp 10 môn Văn tỉnh Thái Nguyên năm 2019
- Đáp án đề thi vào lớp 10 môn Toán tỉnh Thái Nguyên năm 2019
- Đáp án đề thi vào lớp 10 môn Toán tỉnh Trà Vinh
- Đáp án đề thi vào lớp 10 môn Toán tỉnh Lạng Sơn năm 2019
- Đáp án đề thi vào lớp 10 môn Toán tỉnh Nghệ An năm 2019

Gợi ý đáp án đề thi vào lớp 10 môn Toán 2019 Chuyên Lê Quý Đôn

Câu 3
1.
Gọi vận tốc theo quy định của người đó là x (km/h) (x>5)
Thời gian để đi hết quãng đường AB theo quy định là 60/x (giờ)
Nhưng thực thế sau nửa quãng đường = 60/2 = 30 (km) thì người đó giảm vận tốc 5 km/h => vậy x - 5 (km/h)
Thời gian thực tế để người đó đi hết quãng đường AB là 30/x + 30/(x-5)
Bởi thời gian thực tế đến B chậm hơn quy định 1 giờ nên ta có phương trình sau:

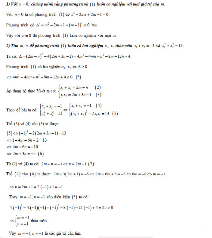
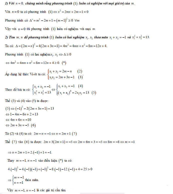
Đáp án câu 3 ý 2

.............................................
Ngoài Đề thi vào lớp 10 môn Toán trường Chuyên Lê Quý Đôn - Lai Châu năm 2019 - 2020 (đề chung). Mời các bạn học sinh còn có thể tham khảo các đề thi học kì 2 lớp 9 các môn Toán, Văn, Anh, Lý, Địa, Sinh mà chúng tôi đã sưu tầm và chọn lọc. Với đề Thi vào lớp 10 năm 2019 này giúp các bạn rèn luyện thêm kỹ năng giải đề và làm bài tốt hơn. Chúc các bạn ôn thi tốt