Đáp án đề thi vào lớp 10 môn Toán tỉnh Đồng Nai năm 2019
Đề thi vào lớp 10 môn Toán tỉnh Đồng Nai năm 2019
Đáp án đề thi vào lớp 10 môn Toán tỉnh Đồng Nai năm 2019 do thư viện đề thi VnDoc.com sưu tầm. Đây là đề thi tham khảo vào lớp 10 môn Toán dành cho các bạn học sinh ôn tập, củng cố kiến thức, rèn luyện kĩ năng làm bài Toán. Mời các bạn cùng tham khảo
Tham khảo: Đáp án đề thi tuyển sinh lớp 10 môn Toán tỉnh Đồng Nai năm 2020
- Điểm thi vào lớp 10 THPT tỉnh Đồng Nai năm học 2019 - 2020
- Đáp án đề thi vào lớp 10 môn Văn tỉnh Đồng Nai năm 2019
- Đáp án đề thi vào lớp 10 môn Văn tỉnh Kiên Giang năm 2019
- Đề thi vào lớp 10 môn Văn Chuyên 2019 tỉnh Kiên Giang
- Điểm thi vào lớp 10 THPT tỉnh Phú Yên năm 2019
- Đề thi vào lớp 10 môn Văn Chuyên 2019 tỉnh Tiền Giang

Gợi ý đáp án đề thi vào lớp 10 môn Toán 2019 Đồng Nai
Câu 1


Câu 2



Câu 3



Câu 4


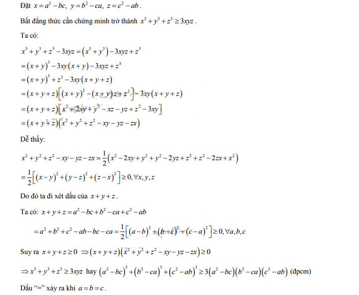
Câu 5



Câu 6

.............................................
Ngoài Đáp án đề thi vào lớp 10 môn Toán tỉnh Đồng Nai năm 2019. Mời các bạn học sinh còn có thể tham khảo các đề thi học kì 2 lớp 9 các môn Toán, Văn, Anh, Lý, Địa, Sinh mà chúng tôi đã sưu tầm và chọn lọc. Với đề Thi vào lớp 10 năm 2019 này giúp các bạn rèn luyện thêm kỹ năng giải đề và làm bài tốt hơn. Chúc các bạn ôn thi tốt