Đáp án đề thi tuyển sinh lớp 10 môn Toán Chuyên Hậu Giang năm 2021
Chiều 11/6, tỉnh Hậu Giang tổ chức thi tuyển sinh vào lớp 10 môn Toán năm học 2021 - 2022. Đề thi và đáp án được VnDoc sưu tầm và đăng tải mời các em tham khảo chi tiết đề thi vào lớp 10 cũng như đáp án dưới đây
Việc luyện tập với đề thi vào lớp 10 năm 2021, sẽ giúp các em học sinh củng cố lại kiến thức và rút kinh nghiệm trong quá trình làm bài thi tuyển vào lớp 10 sắp tới. Chúc các em ôn thi tốt
Đáp án đề thi tuyển sinh lớp 10 môn Toán Chuyên Hậu Giang 2021
1. Đề thi vào lớp 10 năm 2021 tỉnh Hậu Giang môn Toán


- Đáp án và Đề thi vào lớp 10 năm 2021 - Tất cả các tỉnh
- Tổng hợp đề thi tuyển sinh lớp 10 môn Toán cả nước năm 2021 - 2022
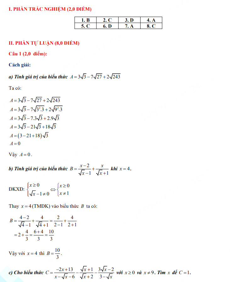
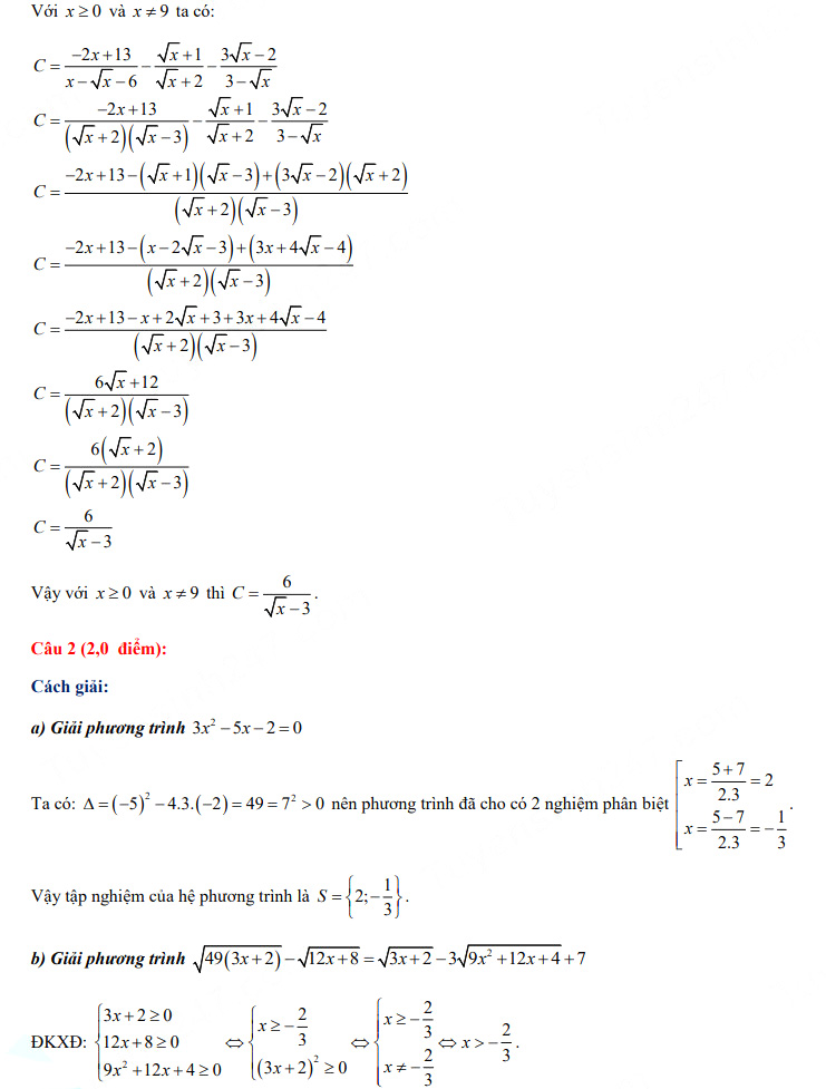
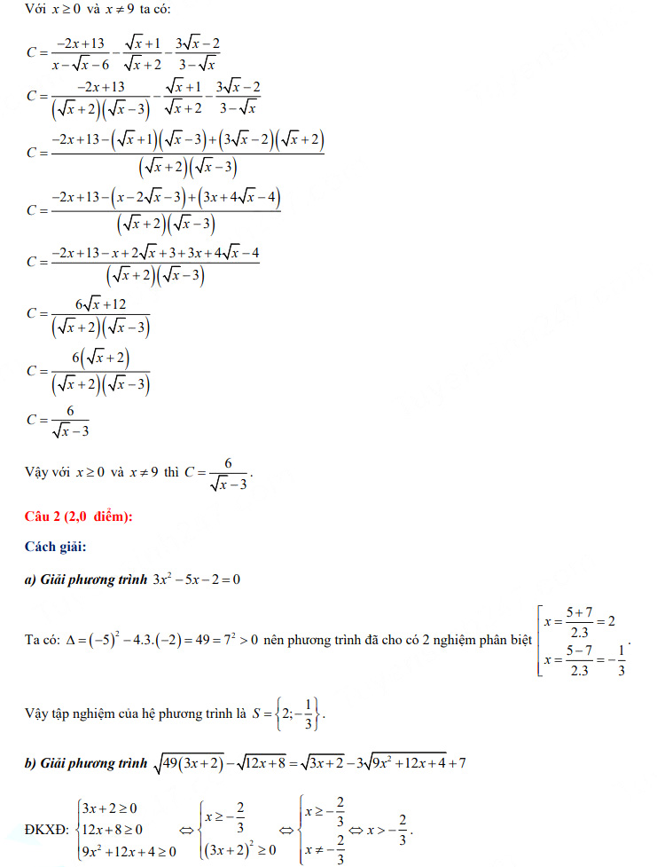
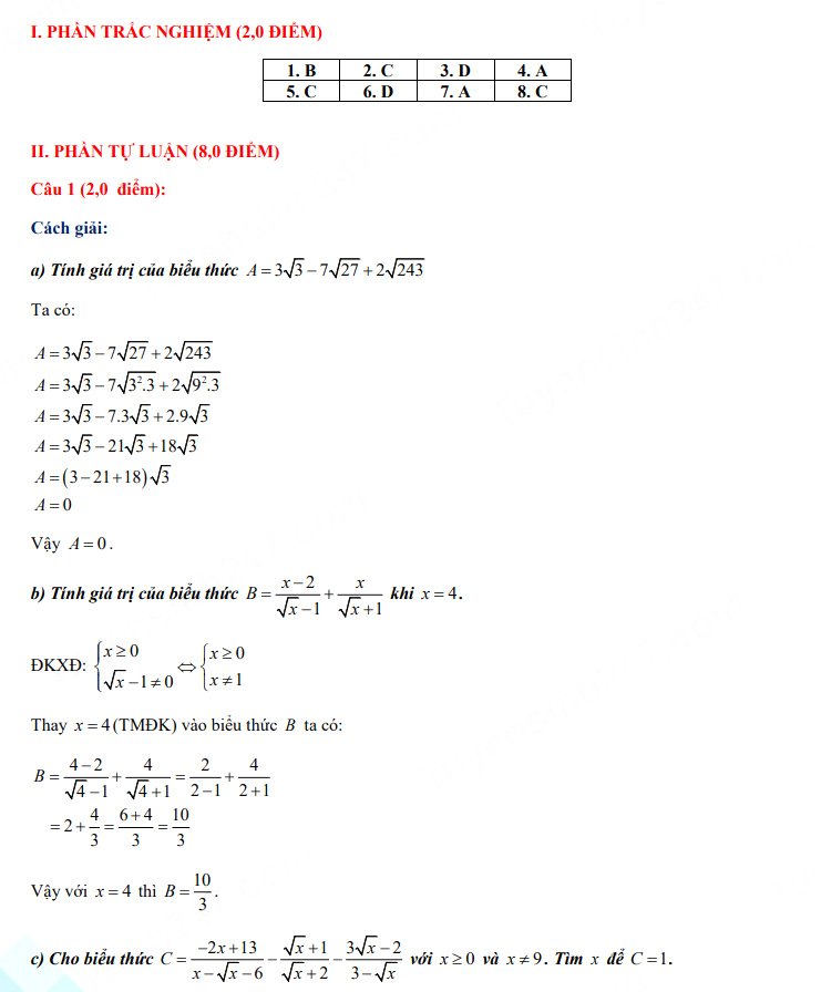
2. Đáp án đề thi vào lớp 10 năm 2021 tỉnh Hậu Giang môn Toán






Ngoài ra, VnDoc.com đã thành lập group chia sẻ tài liệu học tập THCS miễn phí trên Facebook: Tài liệu học tập lớp 10. Mời các bạn học sinh tham gia nhóm, để có thể nhận được những tài liệu mới nhất, giúp việc làm quen với môi trường học tập THPT, lớp 10 trở nên dễ dàng hơn. Hãy vào nhóm để nhận tài liệu học tập và nhận giải đáp thắc mắc các môn học nhé.
Để chuẩn bị tốt hơn cho kì thi vào lớp 10 ngoài đề thi tuyển sinh lớp 10 môn Toán Chuyên Hậu Giang năm 2021 được VnDoc chia sẻ trên đây các em học sinh tham khảo thêm đề thi vào lớp 10 của các tỉnh khác nhé
- Đề thi tuyển sinh lớp 10 môn Văn THPT chuyên Lê Hồng Phong, Nam Định 2021 (đề chung)
- Đề thi tuyển sinh lớp 10 môn Văn THPT chuyên Lê Hồng Phong, Nam Định 2021 (đề chuyên)
- Đề thi tuyển sinh lớp 10 môn Văn Chuyên Nguyễn Tất Thành, Kon Tum năm 2021 (môn chung)
- Đề thi tuyển sinh lớp 10 môn Văn Chuyên Hưng Yên năm 2021
- Đề thi tuyển sinh lớp 10 môn Văn Chuyên Sơn La năm 2021
- Đề thi tuyển sinh lớp 10 môn Văn Chuyên Đồng Tháp năm 2021
- Đáp án đề thi tuyển sinh lớp 10 môn Toán Chuyên Tin Bình Định 2021
.............................................
Ngoài Đáp án đề thi tuyển sinh lớp 10 môn Toán Chuyên Hậu Giang năm 2021. Các em học sinh cũng có thể ôn luyện thi thêm các đề thi vào lớp 10 năm 2021, các dạng đề thi vào lớp 10 môn Toán, đề thi vào lớp 10 môn Văn, đề thi vào lớp 10 môn Tiếng Anh .. và còn rất nhiều tài liệu khác để các em có thể tham khảo ngay tại VnDoc.com. Chúc các em ôn thi tốt