Đáp án đề thi tuyển sinh lớp 10 môn Toán Chuyên TP Cần Thơ năm 2021
VnDoc xin giới thiệu đề thi tuyển sinh vào lớp 10 (có đáp án chi tiết) năm học 2021 - 2022 môn Toán Chuyên của TP Cần Thơ có 02 trang, bao gồm 06 câu hỏi với thời gian là 150 phút. Hy vọng với tài liệu này sẽ giúp ích cho các em học sinh ôn tập chuẩn bị tốt cho kì thi vào lớp 10 sắp tới
Đáp án đề thi vào lớp 10 năm 2021 môn Toán Chuyên - TP Cần Thơ
1. Đề thi vào lớp 10 năm 2021 môn Toán Chuyên - TP Cần Thơ


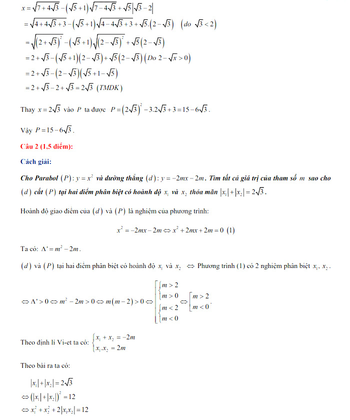
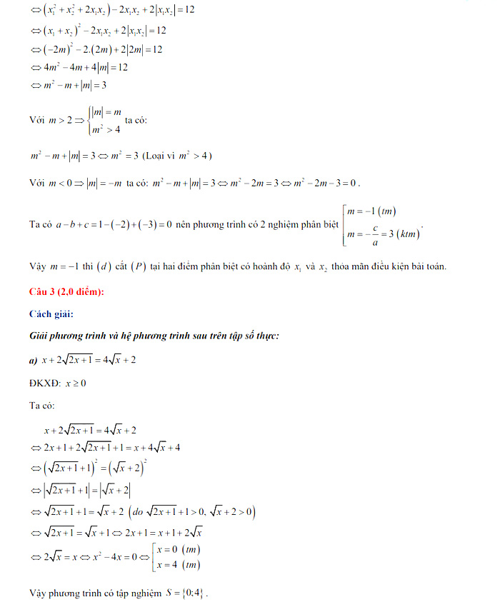
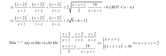
2. Đáp án đề thi vào lớp 10 năm 2021 môn Toán Chuyên - TP Cần Thơ









Ngoài ra, VnDoc.com đã thành lập group chia sẻ tài liệu học tập THCS miễn phí trên Facebook: Tài liệu học tập lớp 10. Mời các bạn học sinh tham gia nhóm, để có thể nhận được những tài liệu mới nhất, giúp việc làm quen với môi trường học tập THPT, lớp 10 trở nên dễ dàng hơn. Hãy vào nhóm để nhận tài liệu học tập và nhận giải đáp thắc mắc các môn học nhé.
Như vậy Đề thi tuyển sinh lớp 10 môn Toán Chuyên TP Cần Thơ năm 2021 đã được VnDoc chia sẻ trên đây kèm theo đáp cho các em so sánh. Hy vọng với tài liệu này sẽ giúp ích cho các em có thêm tài liệu ôn tập, chuẩn bị tốt cho kì thi vào lớp 10 sắp tới
Tham khảo vào lớp 10 các tỉnh khác trên cả nước nhé
- Đáp án đề thi tuyển sinh lớp 10 môn Toán tỉnh Quảng Bình năm 2021
- Đề thi tuyển sinh lớp 10 môn Toán Chuyên Quảng Bình năm 2021
- Đáp án đề thi tuyển sinh lớp 10 môn Văn tỉnh Cần Thơ năm 2021 (đề chuyên)
- Đáp án đề thi tuyển sinh lớp 10 môn Văn tỉnh Cần Thơ năm 2021
- Đáp án đề thi tuyển sinh lớp 10 môn Toán tỉnh Cần Thơ năm 2021
.............................................
Ngoài Đáp án đề thi tuyển sinh lớp 10 môn Toán Chuyên TP Cần Thơ năm 2021 VnDoc sẽ gợi ý cho các em một số đề thi vào lớp 10 môn Toán, đề thi vào lớp 10 môn Văn, đề thi vào lớp 10 môn Tiếng Anh .. Hy vọng với những tài liệu này sẽ giúp các em rèn luyện thêm kỹ năng giải đề và làm bài tốt hơn. Chúc các em ôn thi tốt