Đáp án đề thi tuyển sinh vào lớp 10 môn Toán năm 2020 Trường THPT Chuyên KHTN, Hà Nội (vòng 2)
Đề thi tuyển sinh vào lớp 10 môn Toán Trường THPT Chuyên KHTN, Hà Nội năm 2020
Đáp án đề thi tuyển sinh vào lớp 10 môn Toán năm 2020 Trường THPT Chuyên KHTN, Hà Nội (vòng 2) do thư viện đề thi VnDoc.com sưu tầm. Đây là đề thi tham khảo vào lớp 10 môn Toán dành cho các bạn học sinh ôn tập, củng cố kiến thức, rèn luyện kĩ năng làm bài Toán. Mời các bạn cùng tham khảo
- Đề thi tuyển sinh vào lớp 10 môn Sinh năm 2020 Trường THPT Chuyên KHTN
- Đề thi tuyển sinh lớp 10 môn Toán chuyên năm 2020 KHXH&NV
- Đề thi tuyển sinh vào lớp 10 môn Văn năm 2020 Chuyên KHTN
- Đề thi tuyển sinh lớp 10 chuyên Văn năm 2020 Sở GD&ĐT Bình Dương
- Đề thi tuyển sinh lớp 10 Chuyên Toán năm 2020 Sở GD&ĐT Bình Dương
- Đáp án đề thi tuyển sinh vào lớp 10 môn Toán Trường THPT Chuyên KHTN, Hà Nội năm học 2019 - 2020 (vòng 1)
Để tiện trao đổi, chia sẻ kinh nghiệm về giảng dạy và học tập các môn học lớp 9, VnDoc mời các thầy cô giáo, các bậc phụ huynh và các bạn học sinh truy cập nhóm riêng dành cho lớp 9 sau: Nhóm Tài liệu học tập lớp 9. Rất mong nhận được sự ủng hộ của các thầy cô và các bạn.
Đáp án đề thi tuyển sinh vào lớp 10 môn Toán Trường THPT Chuyên KHTN vòng 2
Câu 1
1)
\(\left\{\begin{array}{l}
(x+y)(x+1)=4\ (1)\\
\left(y^{2}+x y+x+y+5\right)\left(x^{3}+y^{3}+12 y+13\right)=243\ (2)
\end{array}\right.\)
ta có
\((2)\Leftrightarrow (y+x)(y+1)+5]\left[(x+y)^{3}+3 x y(x+1)+12(y+1)+1\right]=243\)
\(\Leftrightarrow[(x+y)(y+1)+(x+y)(x+1)+1]\left[(x+y)^{3}-3 x y(x+y)+3(y+1)(x+y)(x+1)+1\right]=243\)
\(\Leftrightarrow[(x+y)(x+y+2)+1]\left[(x+y)^{3}+3(x+y)((x+1)(y+1)-x y]+1\right]=243\)
\(\Leftrightarrow(x-y+1)^{2}\left[(x+y)^{3}+3(x+y[(x+y)+1]+1]=243\right.\)
\(\Leftrightarrow(x+y+1)^{2} \cdot(x+y+1)^{3}=243\)
\(\Leftrightarrow(x+y+1)^{5}=243\)
\((=) x+y+1=3\)
\(\Leftrightarrow x+y=2\)
thay vào (1), ta có:
\(\left\{\begin{array}{l}
2(x+1)=4 \\
x+y=2
\end{array}\right.\)
\(\Leftrightarrow \left\{\begin{array}{l}x=1 \\y=1\end{array}\right.\)
Vậy hệ phương trình có nghiệm là (x;y) = (1;1)
2, đặt
\(\begin{array}{l}
x-12=a \quad \Rightarrow 2 a=b-12 \\
2 x-12=b
\end{array}\)
ta có phương trình
\(a^{7}+b^{7}-(a+b)^{7}=0\)
\(\Leftrightarrow (a+b)\left(a^{6}-a^{5} b+a^{4} b^{2}-a^{3} b^{3}+a^{2} b^{4}-a b^{5}+b^{6}\right)-(a+b)^{7}=0\)
\(\Leftrightarrow(a+b)\left[a^{6}-a^{5} b+a^{4} b^{2}-a^{3} b^{3}+a^{2} b^{4}-a b^{5}+b^{6}-(a+b)^{6}\right]=0\)
\(\Leftrightarrow(a+b)\left(-7 a^{5} b-14 a^{4} b^{2}-21 a^{3} b^{3}-14 a^{2} b^{4}-7 a b^{5}\right)=0\)
\(\Leftrightarrow -7 a b(a+b)\left(a^{4}+2 a^{3} b+3 a^{2} b^{2}+2 a b^{3}+b^{4}\right)=0\)
\(\Leftrightarrow a b(a+b)\left[\left(a^{2}+a b\right)^{2}+a^{2} b^{2}+\left(a b+b^{2}\right)^{2}\right]=0\)
\(\text { (=) }\left[\begin{array}{l}
a=0 \\
b=0 \\
a+b=0 \\
\left(a^{2}+a b\right)^{2}+a^{2} b^{2}+(a b+b)^{2}=0
\end{array}\right.\)
\(\Leftrightarrow \left\{\begin{array}{l}
x=12 \\
x=6 \\
x-12+2 x-12=0 \Leftrightarrow x=8 \\
a^{2}+a b=a b=a b+b^{2}=0 \quad(\Rightarrow a=b=0
\end{array}\right.\) (vô lý)
kết luận: x = 12; x = 6 hoặc x = 8
Câu 2
b) không mất tính tổng quát, giả sử:
\(a=\max \{a ; b ; c\}\)
ta có
\(\left(2 a^{2}<4 a^{2}+5 b\right)<(2 a+2)^{2}\)
\(\Rightarrow 4 a^{2}+5 b=(2 a+1)^{2}\)
\(\Rightarrow \quad 5 b=4 a+1\)
tương tự, ta có
\(5 x \geq 4 b+1=\frac{16 a+9}{5}\)
\(\Rightarrow a \leq \frac{25 c-9}{16}<2c\)
tương tự, ta có
\((2 c)^{2}<4 c^{2}+5 a<(2 c+3)^{2}\)
\(\Rightarrow\left[\begin{array}{l}
4 c^{2}+5 a=(2 c+1)^{2}\ (1)\\
4 c^{2}+5 a=(36+2)^{2}\ (2)
\end{array}\right.\)
\((1) \Leftrightarrow 5 a=4 c+1\), do đó
\(a \geqslant c \Rightarrow a=b=c=1\)
\((2)\Leftrightarrow 5 a=8 c+4\), khi đó
\(16 a=\frac{128}{5} c+\frac{64}{5}>25 c \geqslant 16 a+9\) vô lý
ý 2
đặt
\(P_{n}=a_{n}+b_{n}+c_{n}+d_{n}\)
Ta thấy, tổng của 4 số là:
\(P_{1}=a r b+c+d\)
Sau phép xây dựng lần 1, ta có:
\(P_{2}=a+b+b+c+c+d+d+a=2 P_{A}\)
tương tự, sau n lần xây dựng, ta có
\(P_{3}=2 P_{2}=2^{2} P_{1}\)
\(\Rightarrow P_{n}=2^{n-1} p_{1}\)
Để có hai thời điểm khác nhau, ta thu được cùng 1 bộ số tức là
\(\exists P_{i}=P_{j}\)
(với
\(i; j \in \mathbb{N}^{*} ; i \neq j\))
\(\Leftrightarrow \text { (0) } 2^{i-1} \cdot P_{0}=2^{j-1}.P_{0}\)
\(\Leftrightarrow\left[\begin{array}{l}
P_{0}=0 \\
i=j
\end{array}\right.\) vô lý
\(P_{0}=0 \Rightarrow P_{n}=0\)
Đặt
\(S_{n}=a_{n}^{2}+b_{n}^{2}+c_{n}^{2}+d_{n}^{2}\) thì
\(S_{n+1}=\left(a_{n}+b_{n}\right)^{2}+\left(b_{n}+c_{n}\right)^{2}+\left(c_{n}+d_{n}\right)^{2}+\left(d_{n}+a_{n}\right)^{2}\)
\(=2 S_{n}+2\left(a_{n} b_{n}+b_{n} c_{n}+c_{n} d_{n}+d_{n} a_{n}\right)\)
\(=2 S_{n}+2\left(a_{n}+c_{n}\right)\left(b_{n}+d_{n}\right)\)
\(=2 S_{n}+2\left(a_{n-1}+b_{n-1}+c_{n-1}+d_{n-1}\right)\left(b_{n-1}+c_{n-1}+d_{n-1}+a_{n-1}\right)\)
\(=2 S_{n}+2 P_{n-1}^{2}=2 S_{n} \quad\left(d_{0} \quad P_{n-1}=0\right)\)
\(\Rightarrow \quad S_{n}=2^{n-1} S_{1}\)
Vì tồn tại thời điểm thu được 2 bộ số giống nhau
\(S_{i}=S_{j}(=)\left[\begin{array}{c}
i=j \\
s_{1}=0
\end{array}\right.\) vô lý
\(\Rightarrow a_{1}^{2}+b_{1}^{2}+c_{1}^{2}+d_{1}^{2}=0 \quad \Leftrightarrow \quad a_{1}=b_{1}=C_{1}=d_{1}=0\)
=) bộ số ban đầu là (a; -a; a; -a) (đpcm)
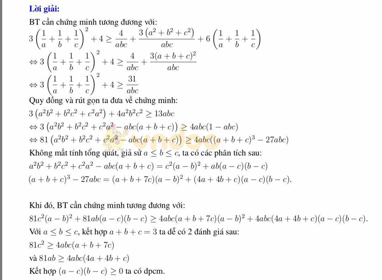
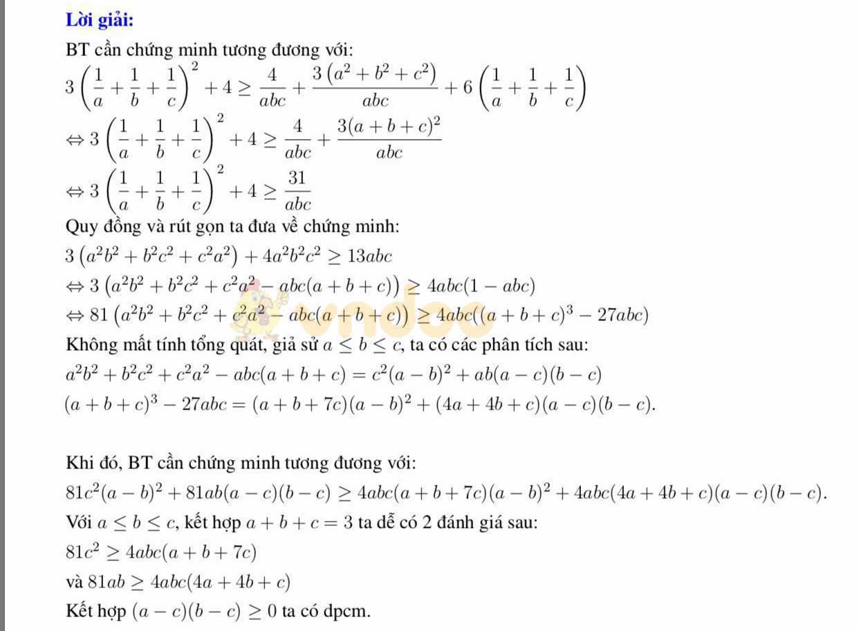
Câu 3


Câu 4

Đề thi tuyển sinh vào lớp 10 môn Toán Trường THPT Chuyên KHTN vòng 2

Trên đây VnDoc đã hướng dẫn các bạn giải Đề thi tuyển sinh vào lớp 10 môn Toán năm 2020 Trường THPT Chuyên KHTN, Hà Nội (vòng 2). Hy vọng với đề thi này sẽ là tài liệu hữu ích cho các bạn tham khảo chuẩn bị cho kì thi vào lớp 10 THPT sắp tới.
- 95 Đề thi tuyển sinh vào lớp 10 môn Toán
- 40 Đề thi Toán vào lớp 10 chọn lọc
- 21 Đề thi vào lớp 10 môn Toán
- Đề thi thử vào lớp 10 môn Ngữ văn Phòng GD&ĐT Nha Trang năm 2020
- Đề thi thử vào lớp 10 môn Ngữ văn Phòng GD&ĐT Nghi Xuân năm 2020
- Đề thi thử vào lớp 10 môn Ngữ văn Trường THCS Thanh Khương năm 2020
- Đề thi thử vào lớp 10 môn Ngữ văn Phòng GD&ĐT huyện Tân Kỳ năm 2020
- Đề thi tuyển sinh lớp 10 môn Văn chung năm 2020 Chuyên Lê Hồng Phong
- Đề thi tuyển sinh vào lớp 10 môn Toán năm 2020 Trường Phổ Thông Năng Khiếu, Thành Phố Hồ Chí Minh (không chuyên)
.............................................
Ngoài Đề thi tuyển sinh vào lớp 10 môn Toán năm 2020 Trường THPT Chuyên KHTN, Hà Nội (vòng 2). Mời các bạn học sinh còn có thể tham khảo các đề thi học kì 2 lớp 9 các môn Toán, Văn, Anh, Lý, Địa, Sinh mà chúng tôi đã sưu tầm và chọn lọc. Với đề Thi vào lớp 10 năm 2026 này giúp các bạn rèn luyện thêm kỹ năng giải đề và làm bài tốt hơn. Chúc các bạn ôn thi tốt