Đề thi tuyển sinh lớp 10 Chuyên Toán năm 2020 Sở GD&ĐT Bình Dương
Đề thi tuyển sinh lớp 10 Chuyên Toán Sở GD&ĐT Bình Dương năm 2020
Đề thi tuyển sinh lớp 10 Chuyên Toán năm 2020 Sở GD&ĐT Bình Dương được VnDoc sưu tầm và đăng tải. Đây là đề thi tham khảo vào lớp 10 môn Toán dành cho các bạn học sinh ôn tập, củng cố kiến thức, rèn luyện kĩ năng làm bài Toán. Mời các bạn cùng tham khảo
- Đề thi tuyển sinh lớp 10 chuyên Văn năm 2020 Sở GD&ĐT Bình Dương
- Đáp án Đề thi tuyển sinh vào lớp 10 môn tiếng Anh tỉnh Bình Dương năm 2020
- Đề thi tuyển sinh lớp 10 môn Văn Sở GD&ĐT Bình Dương năm 2020
- Đề thi tuyển sinh vào lớp 10 môn Ngữ văn Sở GD&ĐT Bình Dương năm học 2019 - 2020
- Đáp án đề thi tuyển sinh lớp 10 môn toán năm 2020 Sở GD&ĐT Bình Dương
Để tiện trao đổi, chia sẻ kinh nghiệm về giảng dạy và học tập các môn học lớp 9, VnDoc mời các thầy cô giáo, các bậc phụ huynh và các bạn học sinh truy cập nhóm riêng dành cho lớp 9 sau: Nhóm Tài liệu học tập lớp 9. Rất mong nhận được sự ủng hộ của các thầy cô và các bạn.

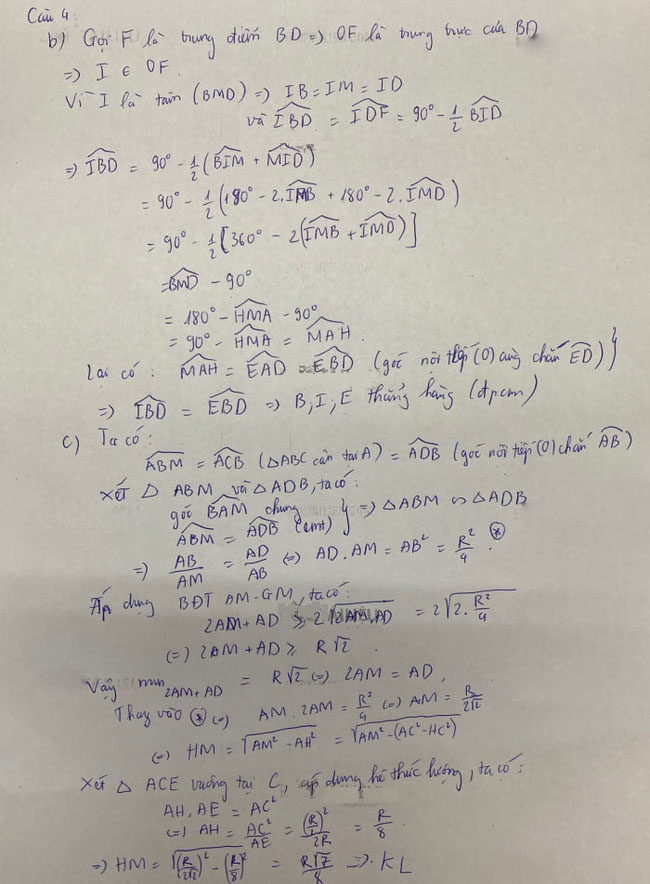
Đáp án đề thi tuyển sinh lớp 10 Chuyên Toán năm 2020 Sở GD&ĐT Bình Dương






Đáp án mang tính chất tham khảo, VnDoc sẽ cập nhật đáp án chính thức trong thời gian sớm nhất, các bạn học sinh nhớ theo dõi thường xuyên để cập nhật đáp án nhanh nhất nhé
Trên đây VnDoc đã hướng dẫn các bạn giải Đề thi tuyển sinh lớp 10 Chuyên Toán năm 2020 Sở GD&ĐT Bình Dương. Hy vọng với đề thi này sẽ là tài liệu hữu ích cho các bạn tham khảo chuẩn bị cho kì thi vào lớp 10 THPT sắp tới.
- 95 Đề thi tuyển sinh vào lớp 10 môn Toán
- 40 Đề thi Toán vào lớp 10 chọn lọc
- 21 Đề thi vào lớp 10 môn Toán
- Đề thi thử vào lớp 10 môn Ngữ văn Phòng GD&ĐT Yên Phong năm 2020
- Đề thi thử vào lớp 10 môn Ngữ văn Trường THCS Quảng Thọ, Sầm Sơn năm 2020
- Đề thi thử vào lớp 10 môn Ngữ văn Phòng GD&ĐT Nha Trang năm 2020
- Đề thi thử vào lớp 10 môn Ngữ văn Phòng GD&ĐT Nghi Xuân năm 2020
- Đề thi thử vào lớp 10 môn Ngữ văn Trường THCS Thanh Khương năm 2020
- Đề thi thử vào lớp 10 môn Ngữ văn Phòng GD&ĐT huyện Tân Kỳ năm 2020
- Đề thi tuyển sinh lớp 10 môn Văn chung năm 2020 Chuyên Lê Hồng Phong
.............................................
Ngoài Đề thi tuyển sinh lớp 10 Chuyên Toán năm 2020 Sở GD&ĐT Bình Dương. Mời các bạn học sinh còn có thể tham khảo các đề thi học kì 2 lớp 9 các môn Toán, Văn, Anh, Lý, Địa, Sinh mà chúng tôi đã sưu tầm và chọn lọc. Với đề Thi vào lớp 10 năm 2026 này giúp các bạn rèn luyện thêm kỹ năng giải đề và làm bài tốt hơn. Chúc các bạn ôn thi tốt