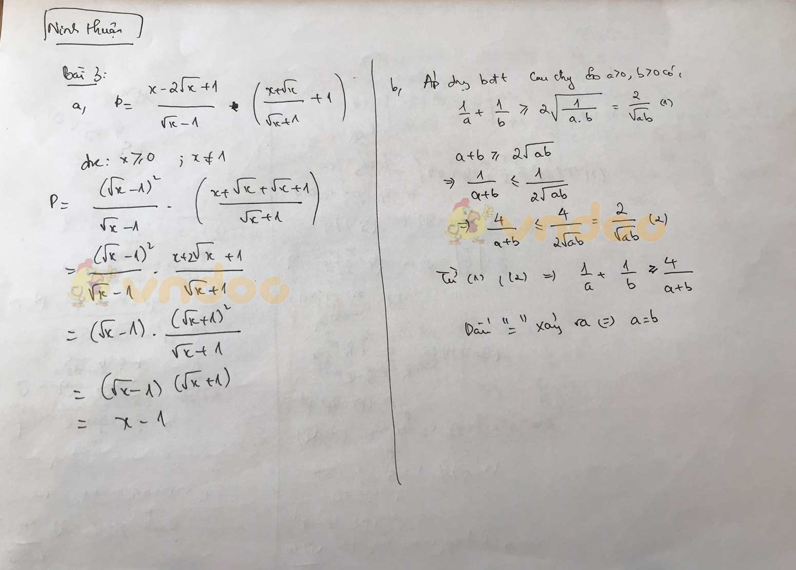
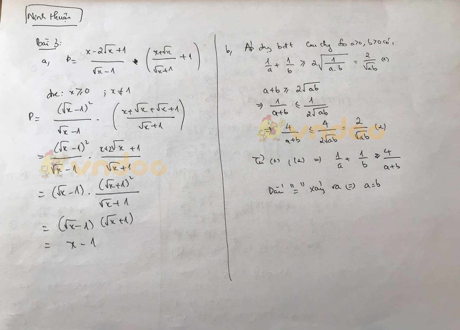
Đáp án đề thi tuyển sinh lớp 10 môn Toán tỉnh Ninh Thuận năm 2020
Đề thi tuyển sinh lớp 10 môn Toán Sở GD&ĐT Ninh Thuận năm 2020
Đáp án đề thi tuyển sinh lớp 10 môn Toán tỉnh Ninh Thuận năm 2020 do thư viện đề thi VnDoc.com sưu tầm. Đây là đề thi vào lớp 10 dành cho các bạn học sinh ôn tập, củng cố kiến thức, rèn luyện kĩ năng làm bài Toán. Mời các bạn cùng tham khảo
Lưu ý: Tra cứu điểm thi tuyển sinh lớp 10 tỉnh Ninh Thuận năm 2020
- 95 Đề thi tuyển sinh vào lớp 10 môn Toán
- 40 Đề thi Toán vào lớp 10 chọn lọc
- 21 Đề thi vào lớp 10 môn Toán
- Bộ đề thi tuyển sinh lớp 10 môn Toán năm 2020
Ngoài ra, VnDoc.com đã thành lập group chia sẻ tài liệu học tập THCS miễn phí trên Facebook: Tài liệu học tập lớp 9. Mời các bạn học sinh tham gia nhóm, để có thể nhận được những tài liệu mới nhất.
Đáp án đề thi tuyển sinh lớp 10 môn Toán tỉnh Ninh Thuận năm 2021 sẽ được cập nhật tại đây: TẠI ĐÂY
Đáp án đề thi tuyển sinh lớp 10 môn Toán tỉnh Ninh Thuận năm 2020




đáp án đang cập nhật
Đề thi tuyển sinh lớp 10 môn Toán tỉnh Ninh Thuận năm 2020

Tham khảo thêm: Đáp án đề thi tuyển sinh lớp 10 môn Văn tỉnh Ninh Thuận năm 2020
- Đáp án đề thi tuyển sinh lớp 10 môn Toán tỉnh Hải Phòng năm 2020
- Đáp án đề thi tuyển sinh lớp 10 môn Toán tỉnh Hậu Giang năm 2020
- Đáp án đề thi tuyển sinh lớp 10 môn Toán Hà Nội năm 2020
- Đáp án đề thi tuyển sinh lớp 10 môn Toán Bến Tre năm 2020
- Đáp án đề thi tuyển sinh lớp 10 môn Toán Bình Định năm 2020
- Đáp án đề thi tuyển sinh lớp 10 môn Toán tỉnh Thừa Thiên Huế năm 2020
- Đáp án đề thi tuyển sinh lớp 10 môn Toán tỉnh An Giang năm 2020
- Đáp án đề thi tuyển sinh lớp 10 môn Toán tỉnh Nghệ An năm 2020
.............................................
Ngoài Đáp án đề thi tuyển sinh lớp 10 môn Toán tỉnh Ninh Thuận năm 2020. Mời các bạn học sinh còn có thể tham khảo các đề thi học kì 2 lớp 9 các môn Toán, Văn, Anh, Lý, Địa, Sinh mà chúng tôi đã sưu tầm và chọn lọc. Với đề Thi vào lớp 10 năm 2026 này giúp các bạn rèn luyện thêm kỹ năng giải đề và làm bài tốt hơn. Chúc các bạn ôn thi tốt