Đáp án đề thi tuyển sinh lớp 10 môn Toán Bắc Kạn năm 2021
Đáp án đề thi tuyển sinh lớp 10 môn Toán Sở GD&ĐT Bắc Kạn năm 2021 - 2022 được VnDoc sưu tầm và đăng tải. Hy vọng đề thi này sẽ giúp ích cho các em học sinh có thêm tài liệu ôn tập chuẩn bị tốt cho kì thi vào lớp 10 sắp tới
Đề thi vào lớp 10 môn Toán năm 2021 tỉnh Bắc Kạn
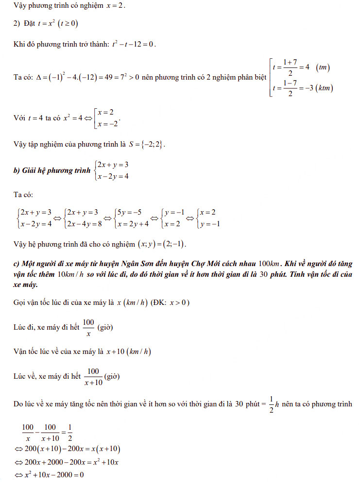
1. Đáp án đề thi tuyển sinh lớp 10 môn Toán Bắc Kạn 2021
Hướng dẫn chi tiết đáp án




đang cập nhật
2. Đề thi tuyển sinh lớp 10 môn Toán Bắc Kạn 2021

- Thời gian công bố điểm thi vào lớp 10 năm 2021 - Tất cả các tỉnh trên cả nước
- Đáp án và Đề thi vào lớp 10 năm 2021 - Tất cả các tỉnh
- Tổng hợp đề thi tuyển sinh lớp 10 môn Toán cả nước năm 2021 - 2022
Lưu ý: Đáp án đề thi tuyển sinh lớp 10 môn Văn tỉnh Bắc Kạn năm 2021
Ngoài ra, VnDoc.com đã thành lập group chia sẻ tài liệu học tập THPT miễn phí trên Facebook: Tài liệu học tập lớp 10. Mời các bạn học sinh tham gia nhóm, để có thể nhận được những tài liệu mới nhất.
Để ôn tập và chuẩn bị tốt hơn cho kì thi vào lớp 10 các bạn tham khảo đề thi vào lớp 10 của các tỉnh khác nhé
- Đáp án đề thi tuyển sinh lớp 10 môn Toán tỉnh Phú Thọ năm 2021
- Đáp án đề thi tuyển sinh lớp 10 môn Toán tỉnh Yên Bái năm 2021
- Đáp án đề thi tuyển sinh lớp 10 môn Toán Sở GD&ĐT Hà Nội năm 2021
- Đáp án đề thi tuyển sinh lớp 10 môn Toán tỉnh Hậu Giang năm 2021
- Đáp án đề thi tuyển sinh lớp 10 môn Toán tỉnh Cao Bằng năm 2021
- Đáp án đề thi tuyển sinh lớp 10 môn Toán tỉnh Tuyên Quang năm 2021
- Đáp án đề thi tuyển sinh lớp 10 môn Toán Đà Nẵng năm 2021
.............................................
Ngoài Đáp án đề thi tuyển sinh lớp 10 môn Toán Bắc Kạn năm 2021. Mời các bạn học sinh còn có thể tham khảo các đề thi học kì 2 lớp 9 các môn Toán, Văn, Anh, Lý, Địa, Sinh mà chúng tôi đã sưu tầm và chọn lọc. Với đề Thi vào lớp 10 năm 2026 này giúp các bạn rèn luyện thêm kỹ năng giải đề và làm bài tốt hơn. Chúc các bạn ôn thi tốt