Đáp án đề thi tuyển sinh vào lớp 10 môn Toán THPT Chuyên Sở GD&ĐT Hà Nam năm học 2019 - 2020 (đề chung)
Đề thi tuyển sinh vào lớp 10 môn Toán THPT Chuyên Sở GD&ĐT Hà Nam năm 2019
Đề thi tuyển sinh vào lớp 10 môn Toán THPT Chuyên Sở GD&ĐT Hà Nam năm học 2019 - 2020 (đề chung) do thư viện đề thi VnDoc.com sưu tầm. Đây là đề thi tham khảo vào lớp 10 môn Toán dành cho các bạn học sinh ôn tập, củng cố kiến thức, rèn luyện kĩ năng làm bài Toán. Mời các bạn cùng tham khảo
- Đề thi tuyển sinh vào lớp 10 môn Toán THPT Chuyên Sở GD&ĐT Nam Định năm học 2019 - 2020 (đề 2)
- Đề thi tuyển sinh vào lớp 10 môn Ngữ văn Trường THPT chuyên KHTN, Hà Nội năm học 2019 - 2020
- Đề thi tuyển sinh vào lớp 10 môn Toán THPT Chuyên Sư Phạm Hà Nội năm học 2019 - 2020
- Đề thi tuyển sinh vào lớp 10 môn Toán THPT Chuyên Sở GD&ĐT Hà Nam năm học 2019 - 2020 (đề chuyên)

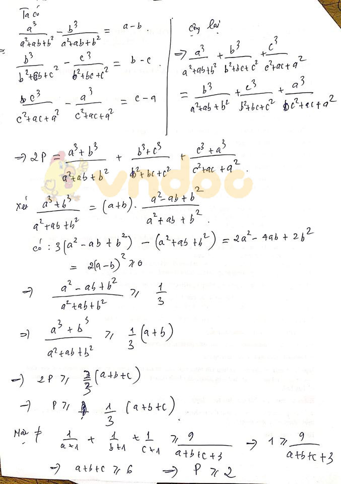
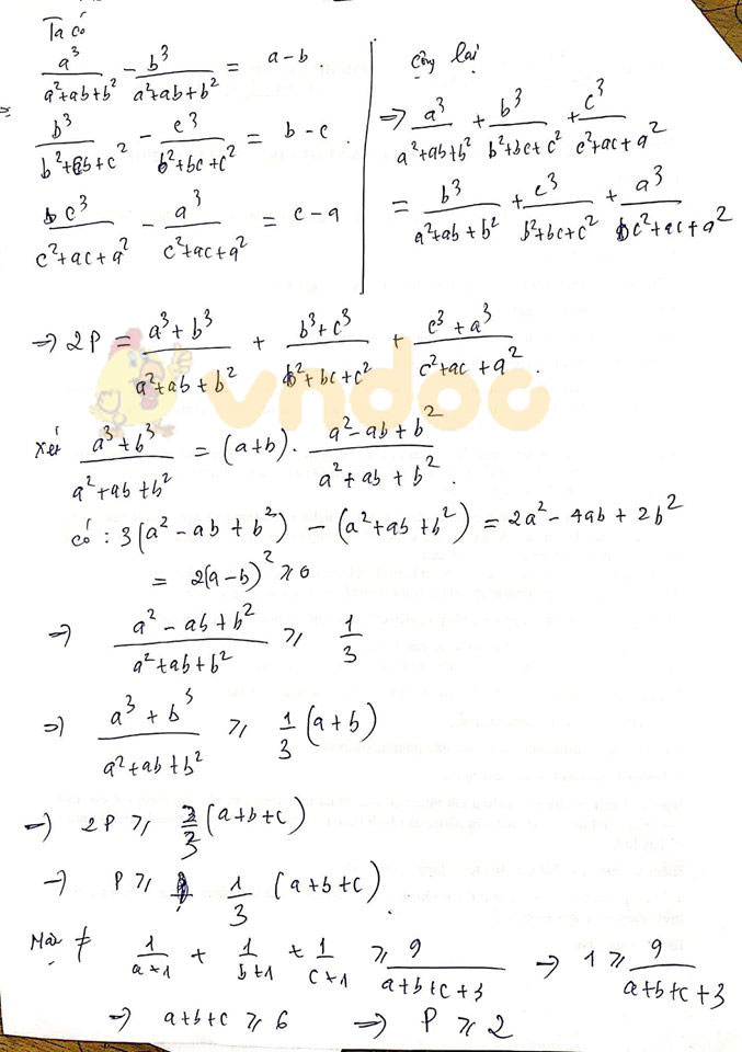
Đáp án đề thi tuyển sinh vào lớp 10 Chuyên Hà Nam năm 2019
Câu 5

.............................................
Ngoài Đề thi tuyển sinh vào lớp 10 môn Toán THPT Chuyên Sở GD&ĐT Hà Nam năm học 2019 - 2020 (đề chung). Mời các bạn học sinh còn có thể tham khảo các đề thi học kì 2 lớp 9 các môn Toán, Văn, Anh, Lý, Địa, Sinh mà chúng tôi đã sưu tầm và chọn lọc. Với đề Thi vào lớp 10 năm 2019 này giúp các bạn rèn luyện thêm kỹ năng giải đề và làm bài tốt hơn. Chúc các bạn ôn thi tốt