Đề thi thử vào lớp 10 môn Toán Trường THPT Phan Huy Chú, Đống Đa năm học 2020 - 2021
Đề thi thử vào lớp 10 môn Toán Trường THPT Phan Huy Chú năm 2020
Đề thi thử vào lớp 10 môn Toán Trường THPT Phan Huy Chú, Đống Đa năm học 2020 - 2021 được VnDoc sưu tầm và đăng tải. Đề thi vào lớp 10 môn Toán này sẽ giúp các bạn học sinh tự ôn luyện và hệ thống lại kiến thức, chuẩn bị tốt cho ôn thi vào lớp 10 các trường THPT. Mời các bạn tham khảo.
Để tiện trao đổi, chia sẻ kinh nghiệm về giảng dạy và học tập các môn học lớp 9, VnDoc mời các thầy cô giáo, các bậc phụ huynh và các bạn học sinh truy cập nhóm riêng dành cho lớp 9 sau: Nhóm Tài liệu học tập lớp 9. Rất mong nhận được sự ủng hộ của các thầy cô và các bạn.

Gợi ý đáp án
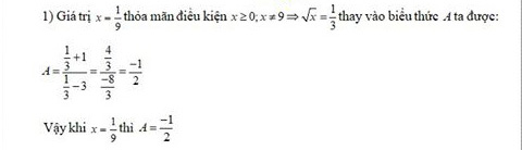
Bài 1: (2,0 điểm)


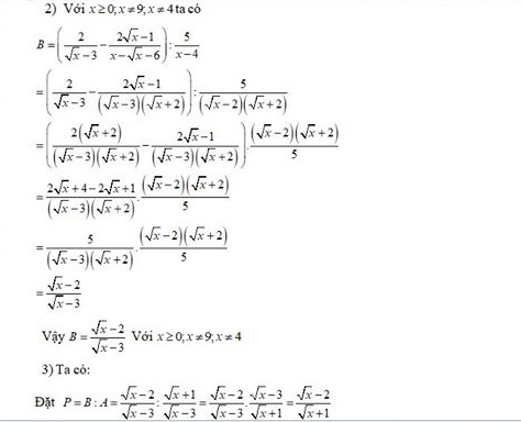
Bài 1: (2,5 điểm)

Đề thi thử vào lớp 10 môn Toán Trường THPT Phan Huy Chú, Đống Đa năm học 2020 - 2021 được VnDoc chia sẻ trên đây với 5 câu hỏi tự luận thời gian 120 phút, giúp các bạn học sinh có thêm tài liệu ôn tập chuẩn bị tốt cho kì thi sắp tới. Ngoài đề thi thử của Trường Phan Huy Chú các bạn tham khảo các đề của các tỉnh khác nữa nhé
- Tổng hợp đề thi vào lớp 10 được tải nhiều nhất
- Bộ đề thi vào lớp 10 môn Toán
- Đề thi thử vào lớp 10 môn Toán Trường THPT Trần Nhân Tông, Hai Bà Trưng năm học 2020 - 2021
- Đề thi minh họa vào lớp 10 môn Toán Sở GD&ĐT Khánh Hòa năm học 2020 - 2021
- Đề thi minh họa vào lớp 10 môn Toán Sở GD&ĐT Vĩnh Long năm học 2020 - 2021
- Đề thi minh họa vào lớp 10 môn Toán Sở GD&ĐT An Giang năm học 2020 - 2021
- Đề thi minh họa vào lớp 10 môn Toán Sở GD&ĐT Yên Bái năm học 2020 - 2021
- Bộ đề thi tuyển sinh lớp 10 môn toán năm 2020 - 2021
- Đề thi thử vào lớp 10 môn Toán Phòng GD&ĐT Nghi Lộc năm học 2020 - 2021
- Đề thi thử vào lớp 10 môn Toán Trường THCS Kim Đồng năm học 2020 - 2021
- Đề thi thử vào lớp 10 môn Toán Trường THCS Giảng Võ, Ba Đình năm học 2020 - 2021
............................................
Ngoài Đề thi thử vào lớp 10 môn Toán Trường THPT Phan Huy Chú, Đống Đa năm học 2020 - 2021. Mời các bạn học sinh còn có thể tham khảo các đề thi học kì 2 lớp 9 các môn Toán, Văn, Anh, Lý, Địa, Sinh mà chúng tôi đã sưu tầm và chọn lọc. Với đề Thi vào lớp 10 năm 2020 này giúp các bạn rèn luyện thêm kỹ năng giải đề và làm bài tốt hơn. Chúc các bạn ôn thi tốt