Đáp án đề thi tuyển sinh lớp 10 môn Toán tỉnh Ninh Bình năm 2021
Đề thi vào lớp 10 môn Toán tỉnh Ninh Bình năm 2021
Đáp án đề thi tuyển sinh lớp 10 môn Toán Sở GD&ĐT Ninh Bình năm 2021 - 2022 được VnDoc sưu tầm và đăng tải. Hy vọng đề thi này sẽ giúp ích cho các em học sinh có thêm tài liệu ôn tập chuẩn bị tốt cho kì thi vào lớp 10 sắp tới
- 95 Đề thi tuyển sinh vào lớp 10 môn Toán
- 40 Đề thi Toán vào lớp 10 chọn lọc
- 21 Đề thi vào lớp 10 môn Toán
- Bộ đề thi tuyển sinh lớp 10 môn Toán năm 2020
- Tổng hợp đề thi tuyển sinh lớp 10 môn Toán cả nước năm 2021 - 2022
Ngoài ra, VnDoc.com đã thành lập group chia sẻ tài liệu học tập THCS miễn phí trên Facebook: Tài liệu học tập lớp 9. Mời các bạn học sinh tham gia nhóm, để có thể nhận được những tài liệu mới nhất.
HOT: Tra cứu điểm thi tuyển sinh lớp 10 Ninh Bình năm 2021
Đáp án đề thi vào lớp 10 môn Toán tỉnh Ninh Bình năm 2021
Hướng dẫn chi tiết đáp án
Câu 1

Câu 2


Câu 3


Câu 4


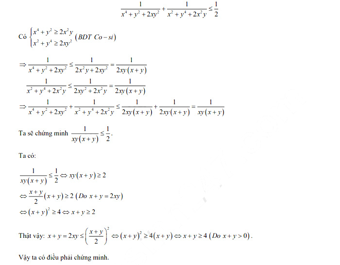
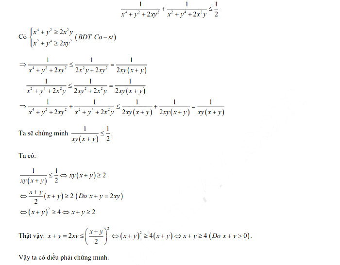
Câu 5


Đề thi vào lớp 10 môn Toán tỉnh Ninh Bình năm 2021

Tham khảo: Đáp án đề thi tuyển sinh lớp 10 môn Toán tỉnh Ninh Bình năm 2020
Để ôn tập và chuẩn bị tốt hơn cho kì thi vào lớp 10 các bạn tham khảo đề thi vào lớp 10 của các tỉnh khác nhé
- Đáp án đề thi tuyển sinh lớp 10 môn Toán tỉnh Bắc Giang năm 2020
- Đáp án đề thi tuyển sinh lớp 10 môn Toán tỉnh Hải Phòng năm 2020
- Đáp án đề thi tuyển sinh lớp 10 môn Toán tỉnh Hà Tĩnh năm 2021
- Đáp án đề thi tuyển sinh lớp 10 môn Toán tỉnh An Giang năm 2021
.............................................
Ngoài Đáp án đề thi tuyển sinh lớp 10 môn Toán tỉnh Ninh Bình năm 2021. Mời các bạn học sinh còn có thể tham khảo các đề thi học kì 2 lớp 9 các môn Toán, Văn, Anh, Lý, Địa, Sinh mà chúng tôi đã sưu tầm và chọn lọc. Với đề Thi vào lớp 10 năm 2026 này giúp các bạn rèn luyện thêm kỹ năng giải đề và làm bài tốt hơn. Chúc các bạn ôn thi tốt