Đề thi tuyển sinh vào lớp 10 môn Toán năm 2020 Trường Phổ Thông Năng Khiếu, Thành Phố Hồ Chí Minh
Đề thi tuyển sinh vào lớp 10 môn Toán Trường Phổ Thông Năng Khiếu, Thành Phố Hồ Chí Minh năm 2020
Đề thi tuyển sinh vào lớp 10 môn Toán năm 2020 Trường Phổ Thông Năng Khiếu, Thành Phố Hồ Chí Minh (không chuyên) được diễn ra vào sáng ngày 11/07/2020. Dưới đây là đề thi và đáp án mời các bạn tải về tham khảo
- Đề thi tuyển sinh vào lớp 10 môn Văn năm 2020 Trường Phổ Thông Năng Khiếu, Thành Phố Hồ Chí Minh
- Đề thi tuyển sinh vào lớp 10 môn Toán trường Phổ Thông Năng Khiếu, Thành Phố Hồ Chí Minh năm học 2018 - 2019 (không chuyên)
- Đề thi tuyển sinh vào lớp 10 môn Toán trường Phổ Thông Năng Khiếu, Thành Phố Hồ Chí Minh năm học 2018 - 2019 (chuyên)
- Đề thi tuyển sinh lớp 10 chuyên Văn năm 2020 Sở GD&ĐT Bình Dương
- Đề thi tuyển sinh lớp 10 Chuyên Toán năm 2020 Sở GD&ĐT Bình Dương
Để tiện trao đổi, chia sẻ kinh nghiệm về giảng dạy và học tập các môn học lớp 9, VnDoc mời các thầy cô giáo, các bậc phụ huynh và các bạn học sinh truy cập nhóm riêng dành cho lớp 9 sau: Nhóm Tài liệu học tập lớp 9. Rất mong nhận được sự ủng hộ của các thầy cô và các bạn.
Đáp án đề thi tuyển sinh vào lớp 10 môn Toán năm 2020 Trường Phổ Thông Năng Khiếu
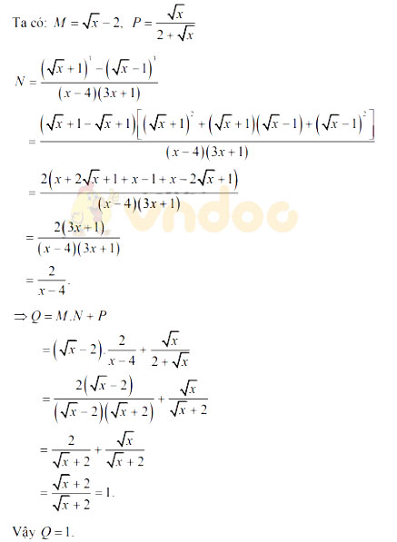
Câu 1
a)



bài 2
a)

b)


Bài 3




b) Tổng số gạo đã xuất trong các ngày thứ 5, thứ 6 là 50,996 tấn



Trên đây là đáp án tham khảo được các thầy cô giáo VnDoc biên soạn, VnDoc sẽ cập nhật đáp án chính thức của Trường PTNK. HCM sớm nhất
Đề thi vào lớp 10 môn Toán trường PTNK - Hồ Chí Minh

|
Trường THPT Phổ Thông Năng Khiếu - Đại học Quốc Gia Hồ Chí Minh - ĐỀ CHÍNH THỨC |
KỲ THI TUYỂN SINH VÀO LỚP 10 NĂM HỌC: 2020 - 2021 Môn: Toán (không chuyên) Ngày thi: 11/7/2020 |

Trên đây VnDoc đã hướng dẫn các bạn giải Đề thi tuyển sinh vào lớp 10 môn Toán năm 2020 Trường Phổ Thông Năng Khiếu, Thành Phố Hồ Chí Minh. Hy vọng với đề thi này sẽ là tài liệu hữu ích cho các bạn tham khảo chuẩn bị cho kì thi vào lớp 10 THPT sắp tới.
- 95 Đề thi tuyển sinh vào lớp 10 môn Toán
- 40 Đề thi Toán vào lớp 10 chọn lọc
- 21 Đề thi vào lớp 10 môn Toán
- Đề thi thử vào lớp 10 môn Ngữ văn Phòng GD&ĐT Nha Trang năm 2020
- Đề thi thử vào lớp 10 môn Ngữ văn Phòng GD&ĐT Nghi Xuân năm 2020
- Đề thi thử vào lớp 10 môn Ngữ văn Trường THCS Thanh Khương năm 2020
- Đề thi thử vào lớp 10 môn Ngữ văn Phòng GD&ĐT huyện Tân Kỳ năm 2020
- Đề thi tuyển sinh lớp 10 môn Văn chung năm 2020 Chuyên Lê Hồng Phong
.............................................
Ngoài Đề thi tuyển sinh vào lớp 10 môn Toán năm 2020 Trường Phổ Thông Năng Khiếu, Thành Phố Hồ Chí Minh (không chuyên). Mời các bạn học sinh còn có thể tham khảo các đề thi học kì 2 lớp 9 các môn Toán, Văn, Anh, Lý, Địa, Sinh mà chúng tôi đã sưu tầm và chọn lọc. Với đề Thi vào lớp 10 năm 2026 này giúp các bạn rèn luyện thêm kỹ năng giải đề và làm bài tốt hơn. Chúc các bạn ôn thi tốt