Đáp án đề thi tuyển sinh lớp 10 môn Toán tỉnh Nghệ An năm 2021
Đề thi vào lớp 10 môn Toán tỉnh Nghệ An năm 2021
Đáp án đề thi tuyển sinh lớp 10 môn Toán Sở GD&ĐT Nghệ An năm 2021 - 2022 được diễn ra ngày 3/6/2021. Dưới đây là lời giải chi tiết do thầy cô giáo VnDoc biên tập và giải đáp mời các em học sinh cùng tham khảo so sánh đánh giá kết quả
HOT: Tra cứu điểm thi tuyển sinh lớp 10 Nghệ An năm 2021
- 95 Đề thi tuyển sinh vào lớp 10 môn Toán
- 40 Đề thi Toán vào lớp 10 chọn lọc
- 21 Đề thi vào lớp 10 môn Toán
- Bộ đề thi tuyển sinh lớp 10 môn Toán năm 2020
- Tổng hợp đề thi tuyển sinh lớp 10 môn Toán cả nước năm 2021 - 2022
Ngoài ra, VnDoc.com đã thành lập group chia sẻ tài liệu học tập THCS miễn phí trên Facebook: Tài liệu học tập lớp 9. Mời các bạn học sinh tham gia nhóm, để có thể nhận được những tài liệu mới nhất.
HOT: Đáp án đề thi tuyển sinh lớp 10 môn Văn tỉnh Nghệ An năm 2021
Đáp án đề thi tuyển sinh lớp 10 môn Toán tỉnh Nghệ An năm 2021






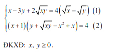
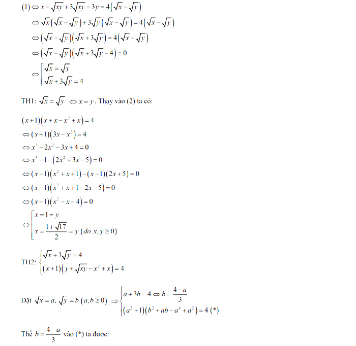
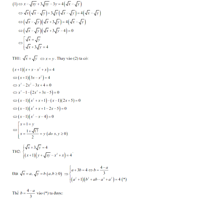
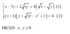
Câu 5



Đề thi tuyển sinh lớp 10 môn Toán tỉnh Nghệ An năm 2021

Tham khảo: Đáp án đề thi tuyển sinh lớp 10 môn toán năm 2020 Sở GD&ĐT Bình Dương
Để ôn tập và chuẩn bị tốt hơn cho kì thi vào lớp 10 các bạn tham khảo đề thi vào lớp 10 của các tỉnh khác nhé
- Đáp án đề thi tuyển sinh lớp 10 môn Toán tỉnh Hà Tĩnh năm 2021
- Đáp án đề thi tuyển sinh lớp 10 môn Toán tỉnh An Giang năm 2021
- Đáp án đề thi tuyển sinh lớp 10 môn Toán tỉnh Ninh Bình năm 2021
- Đáp án đề thi tuyển sinh lớp 10 môn Toán tỉnh Quảng Ninh năm 2021
- Đáp án đề thi tuyển sinh lớp 10 môn Toán tỉnh Ninh Thuận năm 2021
- Đáp án đề thi tuyển sinh lớp 10 môn Toán tỉnh Lào Cai năm 2021
- Đáp án đề thi tuyển sinh lớp 10 môn Toán tỉnh Bình Dương năm 2021
- Đáp án đề thi tuyển sinh lớp 10 môn Toán tỉnh Khánh Hòa năm 2021
.............................................
Ngoài Đáp án đề thi tuyển sinh lớp 10 môn Toán tỉnh Nghệ An năm 2021. Mời các bạn học sinh còn có thể tham khảo các đề thi học kì 2 lớp 9 các môn Toán, Văn, Anh, Lý, Địa, Sinh mà chúng tôi đã sưu tầm và chọn lọc. Với đề Thi vào lớp 10 năm 2026 này giúp các bạn rèn luyện thêm kỹ năng giải đề và làm bài tốt hơn. Chúc các bạn ôn thi tốt