Đáp án đề thi vào lớp 10 môn Toán tỉnh Phú Thọ năm 2019
Đề thi vào lớp 10 Toán tỉnh Phú Thọ năm 2019
Đáp án đề thi vào lớp 10 môn Toán tỉnh Phú Thọ năm 2019 được thư viện đề thi VnDoc.com sưu tầm. Đề thi gồm 10 câu hỏi trắc nghiệm và 4 câu hỏi tự luận tập trung vào phần Toán lớp 9. Dưới đây là đề thi mời các bạn cùng tham khảo
HOT: Đáp án đề thi tuyển sinh lớp 10 môn Toán tỉnh Phú Thọ năm 2020
- Đề thi vào lớp 10 môn Toán 2019 Chuyên Hùng Vương - Phú Thọ
- Đáp án đề thi vào lớp 10 môn Văn tỉnh Phú Thọ năm 2019
- Đáp án đề thi vào lớp 10 môn Toán tỉnh Thái Nguyên năm 2019
- Đáp án đề thi vào lớp 10 môn Toán tỉnh Trà Vinh
- Đáp án đề thi vào lớp 10 môn Toán tỉnh Lạng Sơn năm 2019
- Đáp án đề thi vào lớp 10 môn Toán tỉnh Nghệ An năm 2019


Gợi ý đáp án đề thi vào lớp 10 môn Toán 2019 Phú Thọ
I. Phần trắc nghiệm
1.D
2.C
3.B
4.A
5.C
6.A
7.B
8.D
9.C
10.A
II. Phần tự luận
Câu 1

Câu 2

Câu 3

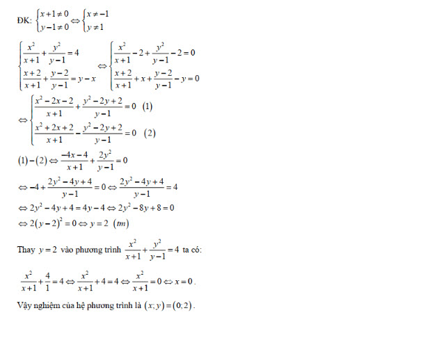
Câu 4

.............................................
Ngoài Đáp án đề thi vào lớp 10 môn Toán tỉnh Phú Thọ năm 2019. Mời các bạn học sinh còn có thể tham khảo các đề thi học kì 2 lớp 9 các môn Toán, Văn, Anh, Lý, Địa, Sinh mà chúng tôi đã sưu tầm và chọn lọc. Với đề Thi vào lớp 10 năm 2019 này giúp các bạn rèn luyện thêm kỹ năng giải đề và làm bài tốt hơn. Chúc các bạn ôn thi tốt