Đáp án đề thi tuyển sinh lớp 10 môn Toán tỉnh Bến Tre năm 2021 (đề chuyên)
Đề thi vào lớp 10 năm 2021 tỉnh Bến Tre môn Toán Chuyên
Đề thi vào lớp 10 năm 2021 Sở GD&ĐT Bến Tre môn Toán Chuyên được VnDoc sưu tầm và đăng tải. Mời các bạn tham khảo chuẩn bị tốt cho kì thi vào lớp 10 sắp tới
- Đáp án và Đề thi vào lớp 10 năm 2021 - Tất cả các tỉnh
- Tổng hợp đề thi tuyển sinh lớp 10 môn Toán cả nước năm 2021 - 2022
Ngoài ra, VnDoc.com đã thành lập group chia sẻ tài liệu học tập THCS miễn phí trên Facebook: Tài liệu học tập lớp 9. Mời các bạn học sinh tham gia nhóm, để có thể nhận được những tài liệu mới nhất.
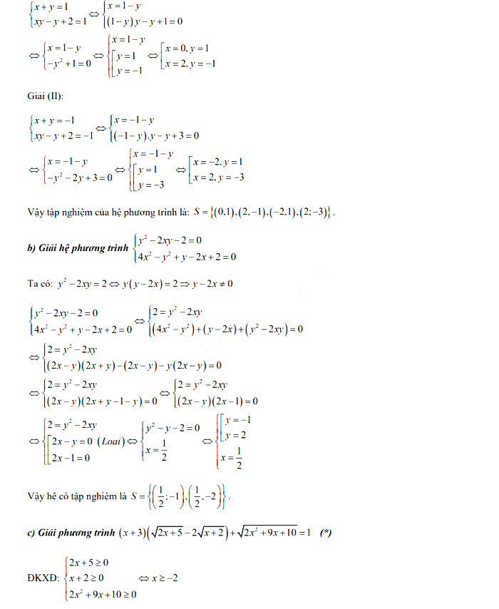
Đáp án đề thi vào lớp 10 năm 2021 tỉnh Bến Tre môn Toán Chuyên








Đề thi vào lớp 10 năm 2021 tỉnh Bến Tre môn Toán Chuyên

Để ôn tập và chuẩn bị tốt hơn cho kì thi vào lớp 10 các bạn tham khảo đề thi vào lớp 10 của các tỉnh khác nhé
- Đáp án đề thi tuyển sinh lớp 10 môn Toán tỉnh Bình Dương năm 2021
- Đáp án đề thi tuyển sinh lớp 10 môn Toán tỉnh Khánh Hòa năm 2021
- Đáp án đề thi tuyển sinh lớp 10 môn Toán tỉnh Nghệ An năm 2021
- Đáp án đề thi tuyển sinh lớp 10 môn Toán tỉnh Quảng Trị năm 2021
- Đáp án đề thi tuyển sinh lớp 10 môn Toán tỉnh Đồng Nai năm 2021
- Đáp án đề thi tuyển sinh lớp 10 môn Toán tỉnh Quảng Ngãi năm 2021
- Đáp án đề thi tuyển sinh lớp 10 môn Toán tỉnh Tiền Giang năm 2021
- Đáp án đề thi tuyển sinh lớp 10 môn Toán tỉnh Bến Tre năm 2021
- Đáp án đề thi tuyển sinh lớp 10 môn Toán tỉnh Cần Thơ năm 2021
- Đề thi tuyển sinh lớp 10 môn Toán chuyên Hòa Bình năm 2021
- Đáp án đề thi tuyển sinh lớp 10 môn Toán tỉnh Bà Rịa - Vũng Tàu năm 2021
- Đáp án đề thi tuyển sinh lớp 10 môn Toán Trường THPT Chuyên Quốc Học Huế năm 2021 (đề chuyên)
.............................................
Ngoài Đáp án đề thi tuyển sinh lớp 10 môn Toán tỉnh Bến Tre năm 2021 (đề chuyên). Mời các bạn học sinh còn có thể tham khảo các đề thi học kì 2 lớp 9 các môn Toán, Văn, Anh, Lý, Địa, Sinh mà chúng tôi đã sưu tầm và chọn lọc. Với đề Thi vào lớp 10 năm 2026 này giúp các bạn rèn luyện thêm kỹ năng giải đề và làm bài tốt hơn. Chúc các bạn ôn thi tốt