Đáp án đề thi vào lớp 10 môn Toán tỉnh Đắk Lắk năm 2019
Đề thi vào lớp 10 Toán tỉnh Đắk Lắk năm 2019
Đáp án đề thi vào lớp 10 môn Toán tỉnh Đắk Lắk năm 2019. Tài liệu giúp các bạn học sinh củng cố lại phần kiến thức đã học và kỹ năng giải đề thi, biết cách phân bổ thời gian làm bài sao cho hợp lý. Mời các bạn cùng tham khảo
- Đáp án đề thi vào lớp 10 môn Văn tỉnh Đắk Lắk năm 2019
- Đáp án đề thi vào lớp 10 môn Văn tỉnh Thái Nguyên năm 2019
- Đáp án đề thi vào lớp 10 môn Toán tỉnh Thái Nguyên năm 2019
- Đáp án đề thi vào lớp 10 môn Toán tỉnh Trà Vinh
- Đáp án đề thi vào lớp 10 môn Toán tỉnh Lạng Sơn năm 2019

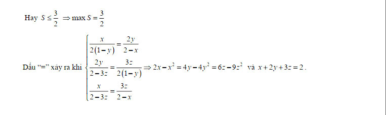
Gợi ý đáp án đề thi vào lớp 10 môn Toán 2019 Đắk Lắk








.............................................
Ngoài Đáp án đề thi vào lớp 10 môn Văn tỉnh Đắk Lắk năm 2019. Mời các bạn học sinh còn có thể tham khảo các đề thi học kì 2 lớp 9 các môn Toán, Văn, Anh, Lý, Địa, Sinh mà chúng tôi đã sưu tầm và chọn lọc. Với đề Thi vào lớp 10 năm 2019 này giúp các bạn rèn luyện thêm kỹ năng giải đề và làm bài tốt hơn. Chúc các bạn ôn thi tốt