Đáp án đề thi vào lớp 10 môn Toán tỉnh Hà Tĩnh 2019
Đề thi vào lớp 10 môn Toán Sở GD&ĐT Hà Tĩnh 2019
Đáp án đề thi vào lớp 10 môn Toán tỉnh Hà Tĩnh 2019 do thư viện đề thi VnDoc.com sưu tầm. Đây là đề thi tham khảo vào lớp 10 môn Toán dành cho các bạn học sinh ôn tập, củng cố kiến thức, rèn luyện kĩ năng làm bài Toán. Mời các bạn cùng tham khảo
HOT: Đáp án đề thi tuyển sinh lớp 10 môn Toán tỉnh Hà Tĩnh năm 2020
- Đề thi tuyển sinh vào lớp 10 môn Ngữ văn Sở GD&ĐT Bình Dương năm học 2019 - 2020
- Đề thi tuyển sinh vào lớp 10 môn Ngữ văn THPT Chuyên Sở GD&ĐT Thái Bình năm học 2019 - 2020
- Đáp án đề thi vào lớp 10 môn Ngữ Văn Sở GD&ĐT Hà Tĩnh năm 2019 - 2020
- Đáp án đề thi tuyển sinh vào lớp 10 môn tiếng Anh tỉnh Bình Dương


ĐÁP ÁN ĐỀ THI VÀO LỚP 10 MÔN TOÁN NĂM 2019 HÀ TĨNH
Lời giải đề thi tuyển sinh lớp 10 môn toán Hà Tĩnh năm 2019 mang mục đích tham khảo:
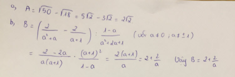
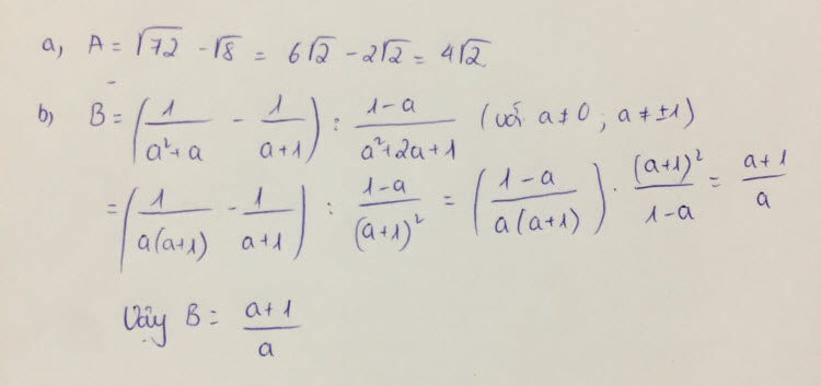
Đáp án đề 1 vào 10 Hà Tĩnh 2019
Câu 1

Câu 2

Đang được cập nhật liên tục
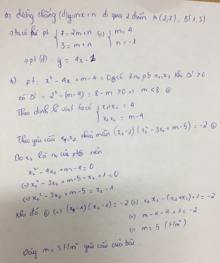
Đáp án đề 2 vào 10 Hà Tĩnh 2019
Câu 1

Câu 2

Câu 3

............................................
Ngoài Đáp án đề thi vào lớp 10 môn Toán tỉnh Hà Tĩnh 2019. Mời các bạn học sinh còn có thể tham khảo các đề thi học kì 2 lớp 9 các môn Toán, Văn, Anh, Lý, Địa, Sinh mà chúng tôi đã sưu tầm và chọn lọc. Với đề Thi vào lớp 10 năm 2019 này giúp các bạn rèn luyện thêm kỹ năng giải đề và làm bài tốt hơn. Chúc các bạn ôn thi tốt