Đáp án đề thi tuyển sinh lớp 10 môn Toán Nam Định năm 2021
Đáp án đề thi tuyển sinh lớp 10 môn Toán tỉnh Nam Định năm 2021 - 2022 được VnDoc sưu tầm và đăng tải. Mời các bạn tham khảo, chuẩn bị tốt cho kì thi vào lớp 10 sắp tới
Đề thi tuyển sinh lớp 10 môn Toán năm 2021 Nam Định
1. Đáp án đề thi tuyển sinh lớp 10 môn Nam Định 2021
Phần I - Trắc nghiệm. (2,0 điểm)
| 1. A | 2.D | 3.A | 4.C |
| 5.C | 6.B | 7.C | 8.B |
Phần II. Tự luận
Câu 1.
1.
\(\left(2-\frac{3+\sqrt{3}}{\sqrt{3}+1}\right)\left(2+\frac{3-\sqrt{3}}{\sqrt{3}-1}\right)=\left(2-\frac{\sqrt{3}(\sqrt{3}+1)}{\sqrt{3}+1}\right)\left(2+\frac{\sqrt{3}(\sqrt{3}-1)}{\sqrt{3}-1}\right)\)
\(=(2-\sqrt{3})(2+\sqrt{3})=1\)
2.
\(A=\left(\frac{1}{x-2 \sqrt{x}}+\frac{1}{\sqrt{x}-2}\right): \frac{\sqrt{x}+1}{x-4 \sqrt{x}+4}\)
ĐK: x > 0; x ≠ 4
\(\Rightarrow A=\left[\frac{1}{\sqrt{x}(\sqrt{x}-2)}+\frac{\sqrt{x}}{\sqrt{x}(\sqrt{x}-2)}\right] \cdot \frac{(\sqrt{x}-2)^{2}}{\sqrt{x}+1}\)
\(=\frac{\sqrt{x}+1}{\sqrt{x}(\sqrt{x}-2)} \cdot \frac{\left((\sqrt{x}-2)^{2}\right.}{\sqrt{x}+1}\)
\(=\frac{\sqrt{x}-2}{\sqrt{x}}\)
Câu 2

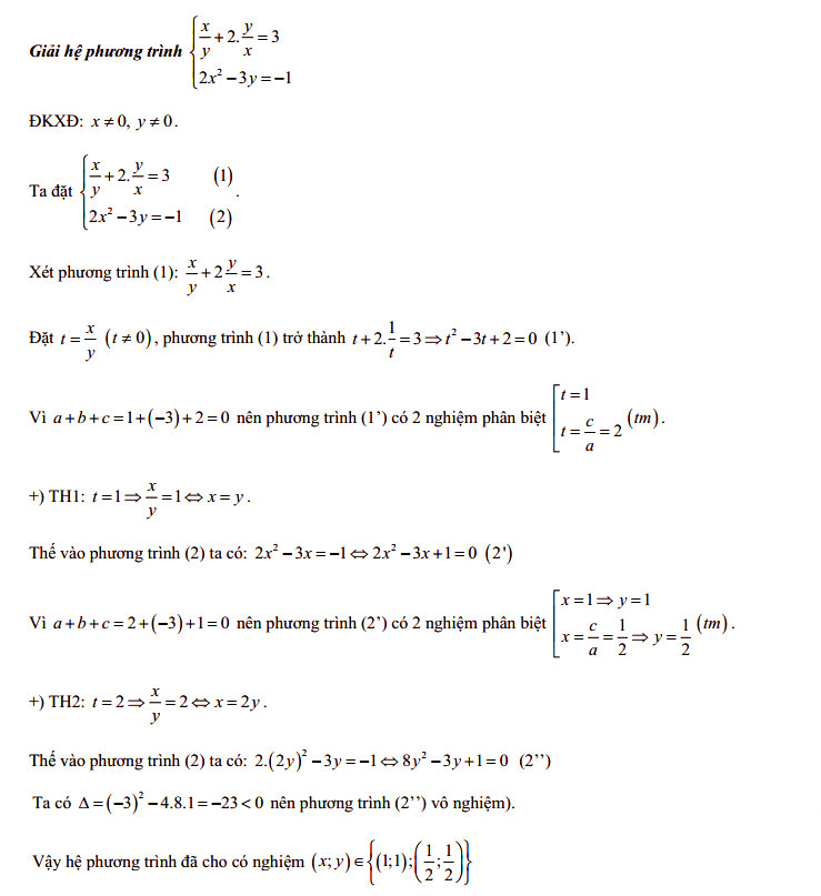
Câu 3

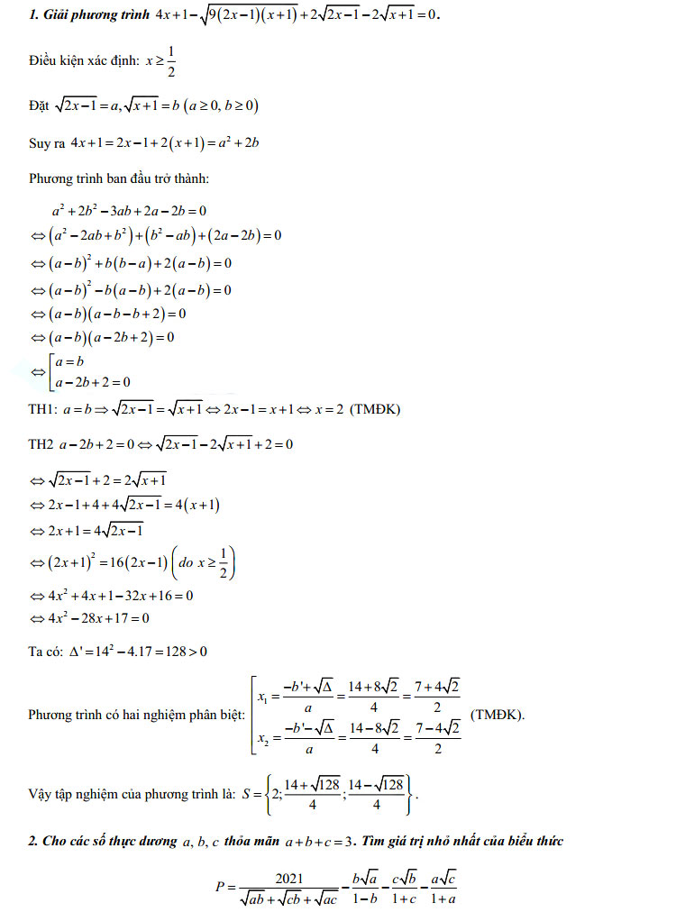
Câu 4

Câu 5

đang cập nhật
Lưu ý: Đáp án đề thi tuyển sinh lớp 10 môn Văn Nam Định năm 2021
2. Đề thi tuyển sinh lớp 10 môn Toán Nam Định 2021


Ngoài ra, VnDoc.com đã thành lập group chia sẻ tài liệu học tập THCS miễn phí trên Facebook: Tài liệu học tập lớp 10. Mời các bạn học sinh tham gia nhóm, để có thể nhận được những tài liệu mới nhất, giúp việc làm quen với môi trường học tập THPT, lớp 10 trở nên dễ dàng hơn. Hãy vào nhóm để nhận tài liệu học tập và nhận giải đáp thắc mắc các môn học nhé.
- Thời gian công bố điểm thi vào lớp 10 năm 2021 - Tất cả các tỉnh trên cả nước
- Đáp án và Đề thi vào lớp 10 năm 2021 - Tất cả các tỉnh
- Tổng hợp đề thi tuyển sinh lớp 10 môn Toán cả nước năm 2021 - 2022
Để ôn tập và chuẩn bị tốt hơn cho kì thi vào lớp 10 các bạn tham khảo đề thi vào lớp 10 của các tỉnh khác nhé
- Đáp án đề thi tuyển sinh lớp 10 môn Toán tỉnh Quảng Ngãi năm 2021
- Đáp án đề thi tuyển sinh lớp 10 môn Toán tỉnh Tiền Giang năm 2021
- Đáp án đề thi tuyển sinh lớp 10 môn Toán tỉnh Cần Thơ năm 2021
- Đáp án đề thi tuyển sinh lớp 10 môn Toán tỉnh Bến Tre năm 2021
- Đáp án đề thi tuyển sinh lớp 10 môn Toán tỉnh Thừa Thiên Huế năm 2021
.............................................
Ngoài Đáp án đề thi tuyển sinh lớp 10 môn Toán Nam Định năm 2021. Mời các bạn học sinh còn có thể tham khảo các đề thi học kì 2 lớp 9 các môn Toán, Văn, Anh, Lý, Địa, Sinh mà chúng tôi đã sưu tầm và chọn lọc. Với đề Thi vào lớp 10 năm 2026 này giúp các bạn rèn luyện thêm kỹ năng giải đề và làm bài tốt hơn. Chúc các bạn ôn thi tốt
- 95 Đề thi tuyển sinh vào lớp 10 môn Toán
- 40 Đề thi Toán vào lớp 10 chọn lọc
- 21 Đề thi vào lớp 10 môn Toán