Đáp án đề thi tuyển sinh lớp 10 môn Toán tỉnh Vĩnh Long năm 2021
Đề thi vào lớp 10 môn Toán tỉnh Vĩnh Long năm 2021
Đáp án đề thi tuyển sinh lớp 10 môn Toán tỉnh Vĩnh Long năm 2021 diễn ra vào sáng ngày 29/5/2021 mời các bạn tham khảo đề và đáp án do giáo viên VnDoc giải đáp
- 95 Đề thi tuyển sinh vào lớp 10 môn Toán
- 40 Đề thi Toán vào lớp 10 chọn lọc
- 21 Đề thi vào lớp 10 môn Toán
- Bộ đề thi tuyển sinh lớp 10 môn Toán năm 2020
- Tổng hợp đề thi tuyển sinh lớp 10 môn Toán cả nước năm 2021 - 2022
Ngoài ra, VnDoc.com đã thành lập group chia sẻ tài liệu học tập THCS miễn phí trên Facebook: Tài liệu học tập lớp 9. Mời các bạn học sinh tham gia nhóm, để có thể nhận được những tài liệu mới nhất.
- Đáp án đề thi tuyển sinh lớp 10 môn Văn tỉnh An Giang năm 2021
- Đáp án đề thi tuyển sinh lớp 10 môn Văn tỉnh Vĩnh Long năm 2021
Đáp án đề thi vào lớp 10 môn Toán tỉnh Vĩnh Long 2021





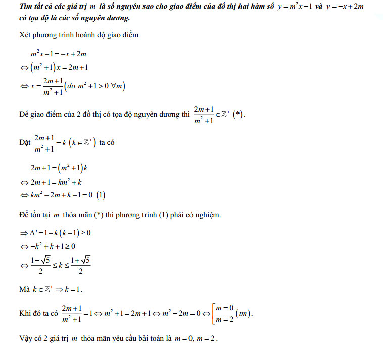
Bài 7

- Đáp án đề thi tuyển sinh lớp 10 môn Toán chuyên tỉnh Vĩnh Long năm 2021
- Đáp án đề thi tuyển sinh lớp 10 môn Văn chuyên tỉnh Vĩnh Long năm 2021
Đề thi vào lớp 10 môn Toán tỉnh Vĩnh Long 2021

Tham khảo thêm: Đáp án đề thi tuyển sinh lớp 10 môn Văn tỉnh Vĩnh Long năm 2020
Đề thi đáp án tuyển sinh vào lớp 10 môn Toán sẽ được cập nhật ngay khi học sinh kết thúc bài thi của mình
Để ôn tập và chuẩn bị tốt hơn cho kì thi vào lớp 10 các bạn tham khảo đề thi vào lớp 10 của các tỉnh khác nhé
- Đáp án đề thi tuyển sinh lớp 10 môn Toán tỉnh An Giang năm 2021
- Đáp án đề thi tuyển sinh lớp 10 môn Toán tỉnh Bạc Liêu năm 2021
.............................................
Ngoài Đáp án đề thi tuyển sinh lớp 10 môn Toán tỉnh Vĩnh Long năm 2021. Mời các bạn học sinh còn có thể tham khảo các đề thi học kì 2 lớp 9 các môn Toán, Văn, Anh, Lý, Địa, Sinh mà chúng tôi đã sưu tầm và chọn lọc. Với đề Thi vào lớp 10 năm 2026 này giúp các bạn rèn luyện thêm kỹ năng giải đề và làm bài tốt hơn. Chúc các bạn ôn thi tốt