Đáp án đề thi vào lớp 10 môn Toán tỉnh Hà Nam năm 2019
Đề thi vào lớp 10 Toán tỉnh Hà Nam năm 2019
Đáp án đề thi vào lớp 10 môn Toán tỉnh Hà Nam năm 2019 được VnDoc sưu tầm và giới thiệu. Đề thi vào lớp 10 Hà Nam gồm có 5 câu hỏi năm trong chương trình THCS. Mời các bạn tham khảo
Lưu ý: Đáp án đề thi tuyển sinh lớp 10 môn Toán tỉnh Hà Nam năm 2020
- Đáp án đề thi vào lớp 10 môn Văn tỉnh Hà Nam năm 2019
- Đáp án đề thi vào lớp 10 môn Toán tỉnh Bạc Liêu năm 2019
- Đáp án đề thi vào lớp 10 môn Văn tỉnh Khánh Hòa năm 2019
- Đáp án đề thi vào lớp 10 môn Toán tỉnh Khánh Hòa năm 2019
- Đáp án đề thi vào lớp 10 môn Toán tỉnh Vĩnh Phúc năm 2019

Gợi ý đáp án đề thi vào lớp 10 môn Toán 2019 Hà Nam
Câu 1

Câu 2

Câu 3

Câu 4

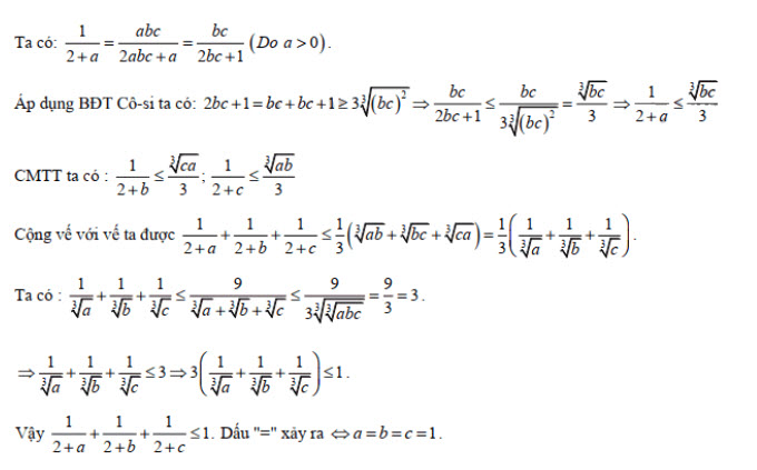
Câu 5

.............................................
Ngoài Đáp án đề thi vào lớp 10 môn Toán tỉnh Hà Nam năm 2019. Mời các bạn học sinh còn có thể tham khảo các đề thi học kì 2 lớp 9 các môn Toán, Văn, Anh, Lý, Địa, Sinh mà chúng tôi đã sưu tầm và chọn lọc. Với đề Thi vào lớp 10 năm 2019 này giúp các bạn rèn luyện thêm kỹ năng giải đề và làm bài tốt hơn. Chúc các bạn ôn thi tốt