Đáp án đề thi tuyển sinh lớp 10 môn Toán Đắk Nông năm 2021 (không chuyên)
Đề và đáp án đề thi vào lớp 10 THPT chuyên năm 2021 môn Toán (không chuyên) của tỉnh Đắk Nông do VnDoc sưu tầm và chia sẻ. Đề thi gồm 05 câu hỏi kèm theo đáp án để các em ôn tập, so sánh đánh giá bài thi của mình. Sau đây là chi tiết đề thi mời các em tham khảo
Đáp án đề thi vào lớp 10 THPT năm 2021 môn Toán tỉnh Đắk Nông
1. Đề thi vào lớp 10 THPT năm 2021 môn Toán tỉnh Đắk Nông

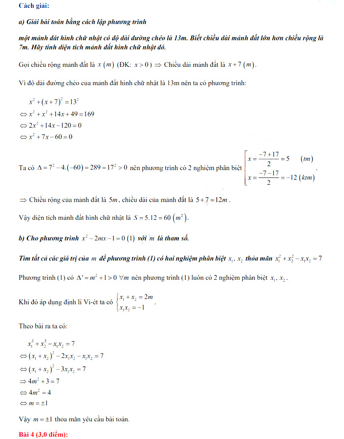
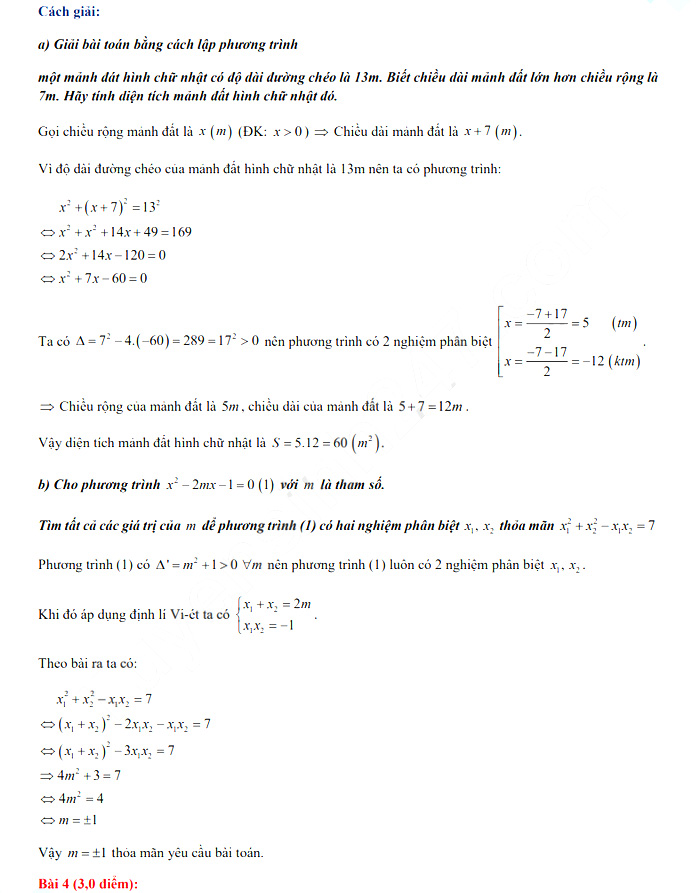
2. Đáp án đề thi vào lớp 10 THPT năm 2021 môn Toán tỉnh Đắk Nông




Ngoài ra, VnDoc.com đã thành lập group chia sẻ tài liệu học tập THCS miễn phí trên Facebook: Tài liệu học tập lớp 10. Mời các bạn học sinh tham gia nhóm, để có thể nhận được những tài liệu mới nhất, giúp việc làm quen với môi trường học tập THPT, lớp 10 trở nên dễ dàng hơn. Hãy vào nhóm để nhận tài liệu học tập và nhận giải đáp thắc mắc các môn học nhé.
Đáp án đề thi vào lớp 10 THPT năm 2021 môn Toán tỉnh Đắk Nông được VnDoc chia sẻ trên đây hy vọng sẽ giúp ích cho các em có thêm tài liệu ôn tập, chuẩn bị tốt cho kỳ thi vào lớp 10 sắp tới. Chúc các em ôn thi tốt và nhớ thường xuyên ghé VnDoc.com để tham khảo nhiều tài liệu hay và bổ ích nữa nhé
Tham khảo vào lớp 10 các tỉnh khác trên cả nước nhé
- Đề thi tuyển sinh lớp 10 môn Sinh Chuyên Quảng Bình năm 2021
- Đáp án đề thi tuyển sinh lớp 10 môn Toán tỉnh Quảng Bình năm 2021
- Đề thi tuyển sinh lớp 10 môn Sinh Chuyên Đắk Nông năm 2021
- Đề thi tuyển sinh lớp 10 môn Toán Chuyên Đắk Nông năm 2021
- Đáp án đề thi tuyển sinh lớp 10 môn Văn Chuyên THPT chuyên Đắk Nông năm 2021
.............................................
Ngoài Đáp án đề thi tuyển sinh lớp 10 môn Toán Đắk Nông năm 2021 (không chuyên) VnDoc sẽ gợi ý cho các em một số đề thi vào lớp 10 môn Toán, đề thi vào lớp 10 môn Văn, đề thi vào lớp 10 môn Tiếng Anh .. Hy vọng với những tài liệu này sẽ giúp các em rèn luyện thêm kỹ năng giải đề và làm bài tốt hơn. Chúc các em ôn thi tốt