Đáp án đề thi tuyển sinh lớp 10 môn Toán Chuyên Quốc Học Huế 2021
Đề thi vào lớp 10 môn Toán chuyên Tin trường THPT Chuyên Quốc Học Huế năm học 2021 - 2022 do thư viện đề thi VnDoc.com sưu tầm kèm theo đáp án. Đây là đề thi vào lớp 10 môn Toán dành cho các em học sinh ôn tập, củng cố kiến thức, rèn luyện kĩ năng giải đề thi. Dưới đây là chi tiết đề và đáp án mời các em cùng tham khảo
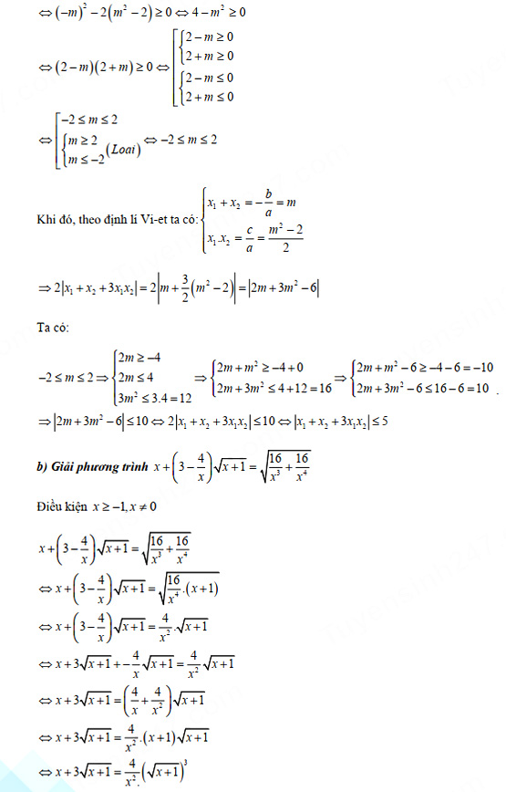
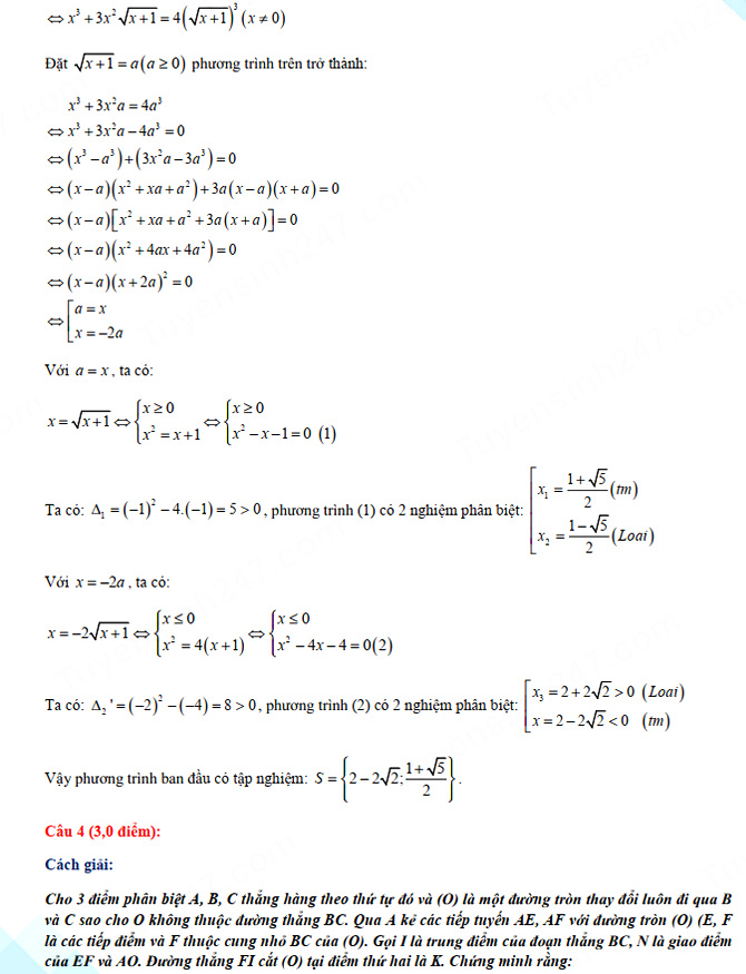
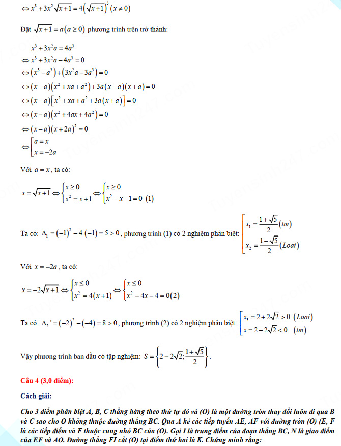
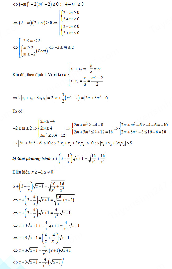
Đáp án đề thi vào lớp 10 môn Toán chuyên Tin - THPT Chuyên Quốc Học Huế 2021
1. Đề thi vào lớp 10 môn Toán chuyên Tin - THPT Chuyên Quốc Học Huế 2021

2. Đáp án đề thi vào lớp 10 môn Toán chuyên Tin - THPT Chuyên Quốc Học Huế 2021






Ngoài ra, VnDoc.com đã thành lập group chia sẻ tài liệu học tập THCS miễn phí trên Facebook: Tài liệu học tập lớp 10. Mời các bạn học sinh tham gia nhóm, để có thể nhận được những tài liệu mới nhất, giúp việc làm quen với môi trường học tập THPT, lớp 10 trở nên dễ dàng hơn. Hãy vào nhóm để nhận tài liệu học tập và nhận giải đáp thắc mắc các môn học nhé.
Như vậy VnDoc đã chia sẻ Đáp án đề thi tuyển sinh lớp 10 môn Toán Chuyên Quốc Học Huế 2021 kèm theo đáp án chi tiết giúp các em có thêm tài liệu ôn tập và chuẩn bị tốt hơn cho kì thi vào lớp 10 sắp tới. Chúc các em ôn thi tốt
Đề thi tuyển sinh vào lớp 10 THPT Chuyên các tỉnh trong cả nước
- Đề thi tuyển sinh lớp 10 môn Vật lý Chuyên tỉnh Thái Nguyên năm 2021
- Đáp án đề thi tuyển sinh lớp 10 môn Toán Chuyên Tin Bình Định 2021
- Đề thi tuyển sinh lớp 10 môn Toán Chuyên Tin Gia Lai 2021
- Đáp án đề thi tuyển sinh lớp 10 môn Hóa chuyên Quốc Học Huế năm 2021
- Đáp án đề thi tuyển sinh lớp 10 môn Vật lý Chuyên tỉnh Thừa Thiên Huế năm 2021
.............................................
Ngoài Đáp án đề thi tuyển sinh lớp 10 môn Toán Chuyên Quốc Học Huế 2021. Mời các em học sinh còn có thể tham khảo các đề thi học kì 2 lớp 9 các môn Toán, Văn, Anh, Lý, Địa, Sinh..Đề thi vào lớp 10 môn Toán, Thi vào lớp 10 môn Văn ... mà chúng tôi đã sưu tầm và chọn lọc. Với đề Thi vào lớp 10 năm 2026 này giúp các bạn rèn luyện thêm kỹ năng giải đề và làm bài tốt hơn. Chúc các em ôn thi tốt