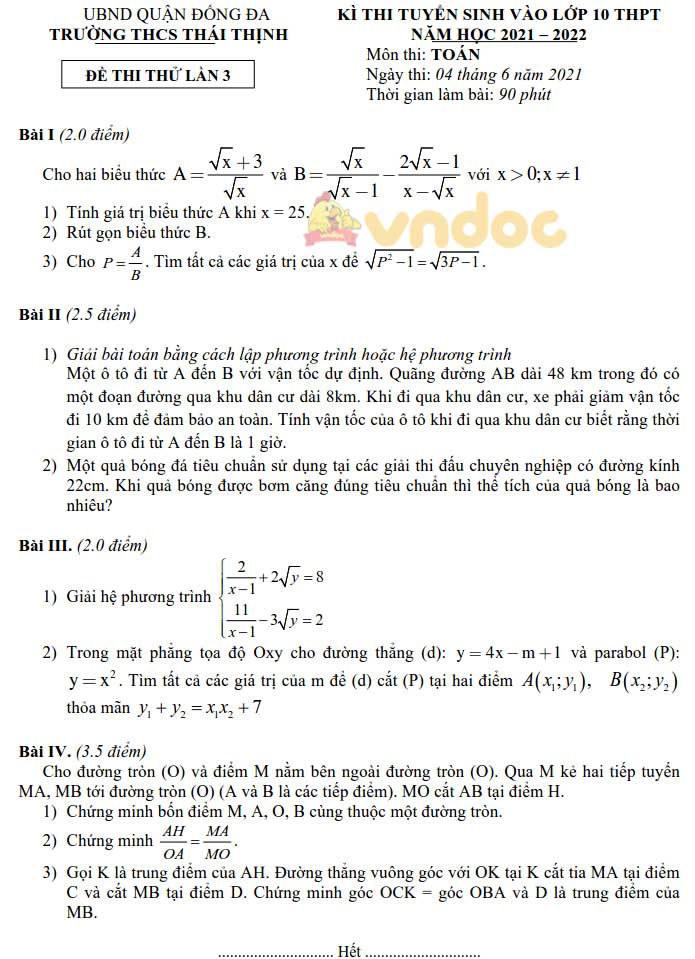
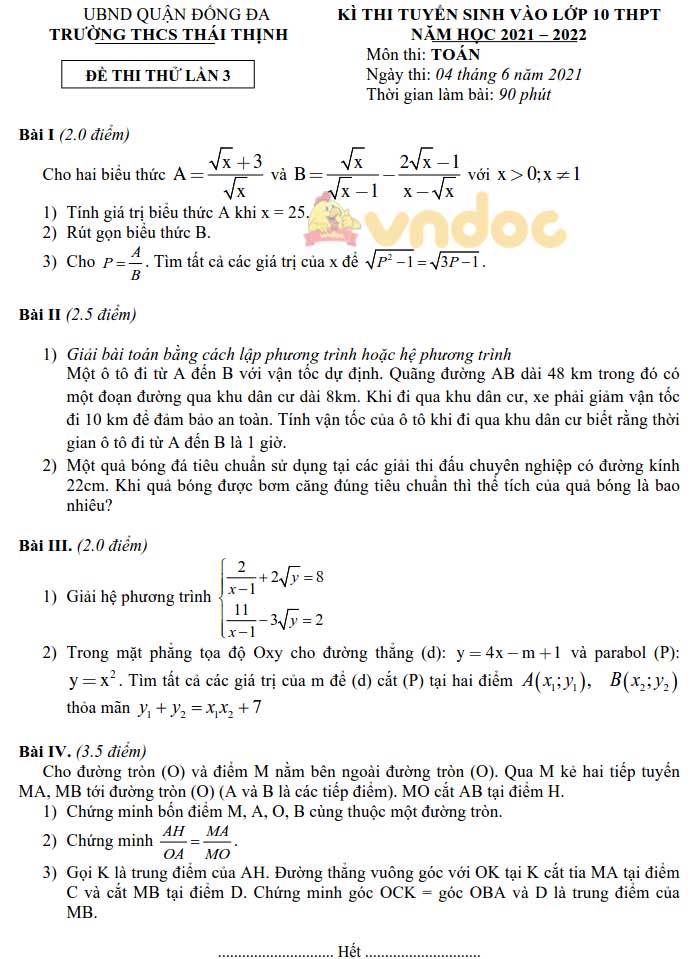
Đề thi thử vào lớp 10 môn Toán Trường THCS Thái Thịnh, Đống Đa năm 2021 - 2022 (lần 3)
Đề thi thử vào lớp 10 môn Toán Trường THCS Thái Thịnh năm 2021
VnDoc xin giới thiệu Đề thi thử vào lớp 10 môn Toán Trường THCS Thái Thịnh, Đống Đa năm 2021 - 2022 (lần 3). Nội dung đề thi gồm có 4 câu hỏi với thời gian 90 phút. Đề thi này sẽ giúp ích cho các bạn học sinh ôn tập thử sức với các đề thi khác nhau. Sau đây là nội dung đề thi mời các bạn tham khảo
- Tổng hợp đề thi thử vào lớp 10 môn Toán cả nước năm 2021
- Đề thi thử vào lớp 10 môn Toán Trường THCS Thái Thịnh, Đống Đa năm 2021 - 2022 (lần 2)
Ngoài ra, VnDoc.com đã thành lập group chia sẻ tài liệu học tập THCS miễn phí trên Facebook: Tài liệu học tập lớp 9. Mời các bạn học sinh tham gia nhóm, để có thể nhận được những tài liệu mới nhất.

Đáp án đề thi thử vào lớp 10 môn Toán Trường THCS Thái Thịnh năm 2021 (lần 3)



Đề thi thử vào lớp 10 môn Toán Trường THCS Thái Thịnh, Đống Đa năm 2021 - 2022 (lần 3) được VnDoc chia sẻ trên đây với 4 câu hỏi với thời gian 90 phút, giúp các bạn học sinh có thêm tài liệu ôn tập chuẩn bị tốt cho kì thi sắp tới. Ngoài đề thi thử trên đây các bạn tham khảo các đề của các tỉnh khác nữa nhé
- Tổng hợp đề thi vào lớp 10 được tải nhiều nhất
- Bộ đề thi vào lớp 10 môn Toán
- Bộ đề thi tuyển sinh lớp 10 môn toán năm 2020 - 2021
- Đề thi thử vào lớp 10 môn Toán phòng GD&ĐT Can Lộc, Hà Tĩnh năm 2021 - 2022
- Đề thi thử vào lớp 10 môn Toán trường THCS Kim Liên, Nghệ An năm 2021 - 2022 (lần 1)
- Đề thi thử vào lớp 10 môn Toán trường THCS Nghinh Xuyên, Phú Thọ năm 2021 - 2022
- Đề thi thử vào lớp 10 môn Toán trường THCS Minh Phú, Phú Thọ năm 2021 - 2022
- Đề thi thử vào lớp 10 môn Toán Phòng GD&ĐT Huyện Đức Thọ, Hà Tĩnh năm 2021 - 2022
- Đề thi thử vào lớp 10 môn Toán Phòng GD&ĐT huyện Vĩnh Bảo, Hải Phòng năm 2021 - 2022
- Đề thi thử vào lớp 10 môn Toán Phòng GD&ĐT Quận Long Biên năm 2021 - 2022
............................................
Ngoài Đề thi thử vào lớp 10 môn Toán Trường THCS Thái Thịnh, Đống Đa năm 2021 - 2022 (lần 3). Mời các bạn học sinh còn có thể tham khảo các đề thi học kì 2 lớp 9 các môn Toán, Văn, Anh, Lý, Địa, Sinh mà chúng tôi đã sưu tầm và chọn lọc. Với đề Thi vào lớp 10 năm 2021 này giúp các bạn rèn luyện thêm kỹ năng giải đề và làm bài tốt hơn. Chúc các bạn ôn thi tốt