Đáp án đề thi tuyển sinh lớp 10 môn Toán tỉnh Hậu Giang năm 2020
Đề thi tuyển sinh lớp 10 môn Toán Sở GD&ĐT Hậu Giang năm 2020
Đáp án đề thi tuyển sinh lớp 10 môn Toán tỉnh Hậu Giang năm 2020 được VnDoc chia sẻ. Đề thi là tài liệu tham khảo hữu ích dành cho thầy cô trong quá trình giảng dạy, ôn luyện kiến thức đã học cho các bạn đồng thời cũng giúp học sinh làm quen nhiều dạng đề thi tuyển sinh vào lớp 10 khác nhau. Mời các bạn tham khảo
Lưu ý: Tra cứu điểm thi tuyển sinh lớp 10 tỉnh Hậu Giang năm 2020
- 95 Đề thi tuyển sinh vào lớp 10 môn Toán
- 40 Đề thi Toán vào lớp 10 chọn lọc
- 21 Đề thi vào lớp 10 môn Toán
- Bộ đề thi tuyển sinh lớp 10 môn Toán năm 2020
Để tiện trao đổi, chia sẻ kinh nghiệm về giảng dạy và học tập các môn học lớp 9, VnDoc mời các thầy cô giáo, các bậc phụ huynh và các bạn học sinh truy cập nhóm riêng dành cho lớp 9 sau: Nhóm Tài liệu học tập lớp 9. Rất mong nhận được sự ủng hộ của các thầy cô và các bạn.
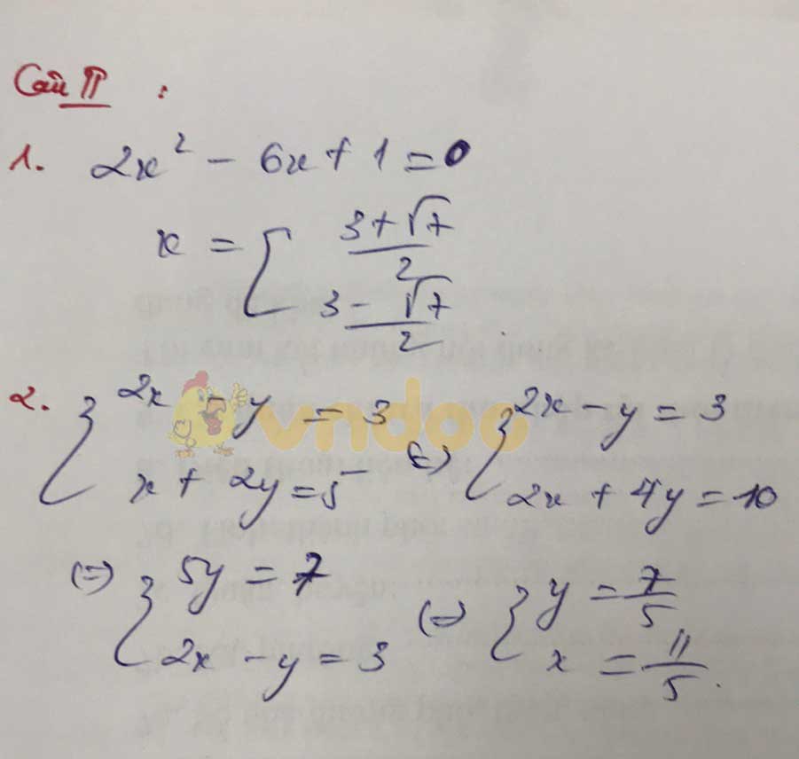
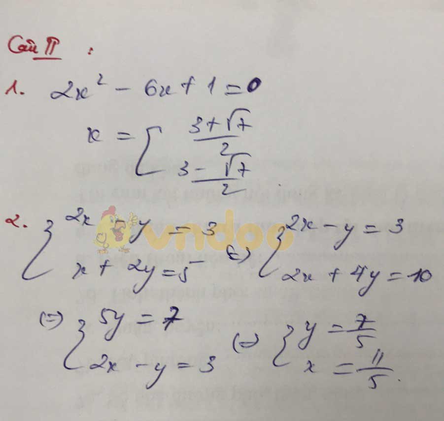
Đáp án đề thi tuyển sinh lớp 10 môn Toán tỉnh Hậu Giang năm 2020
A. Trắc nghiệm
| 1 | 2 | 3 | 4 | 5 | 6 | 7 | 8 |
| D | B | A | C | D | B | C | B |





đáp án đang cập nhật
Đề thi tuyển sinh lớp 10 môn Toán tỉnh Hậu Giang năm 2020


- Đề thi tuyển sinh lớp 10 môn Toán tỉnh Bạc Liêu năm 2020
- Đáp án đề thi tuyển sinh lớp 10 môn Toán tỉnh Hưng Yên năm 2020
- Đáp án đề thi tuyển sinh lớp 10 môn Toán tỉnh Khánh Hòa năm 2020
- Đáp án đề thi tuyển sinh lớp 10 môn Toán tỉnh Cao Bằng năm 2020
- Đáp án đề thi tuyển sinh lớp 10 môn Toán tỉnh Bắc Giang năm 2020
- Đáp án đề thi tuyển sinh lớp 10 môn Toán tỉnh Hải Phòng năm 2020
.............................................
Ngoài Đáp án đề thi tuyển sinh lớp 10 môn Toán tỉnh Hậu Giang năm 2020. Mời các bạn học sinh còn có thể tham khảo các đề thi học kì 2 lớp 9 các môn Toán, Văn, Anh, Lý, Địa, Sinh mà chúng tôi đã sưu tầm và chọn lọc. Với đề Thi vào lớp 10 năm 2026 này giúp các bạn rèn luyện thêm kỹ năng giải đề và làm bài tốt hơn. Chúc các bạn ôn thi tốt