Đáp án đề thi tuyển sinh lớp 10 môn Toán Chuyên tỉnh Thái Bình năm 2021
Đề thi tuyển sinh vào lớp 10 THPT Chuyên Thái Bình môn Toán (Dành cho tất cả các thí sinh) năm học 2021 - 2022 có thời gian làm bài 120 phút (có đáp án chi tiết) được VnDoc sưu tầm và đăng tải. Dưới đây là chi tiết đề thi mời các em cùng tham khảo
Đáp án đề thi vào lớp 10 THPT Chuyên Thái Bình môn Toán 2021
1. Đề thi vào lớp 10 THPT Chuyên Thái Bình môn Toán 2021

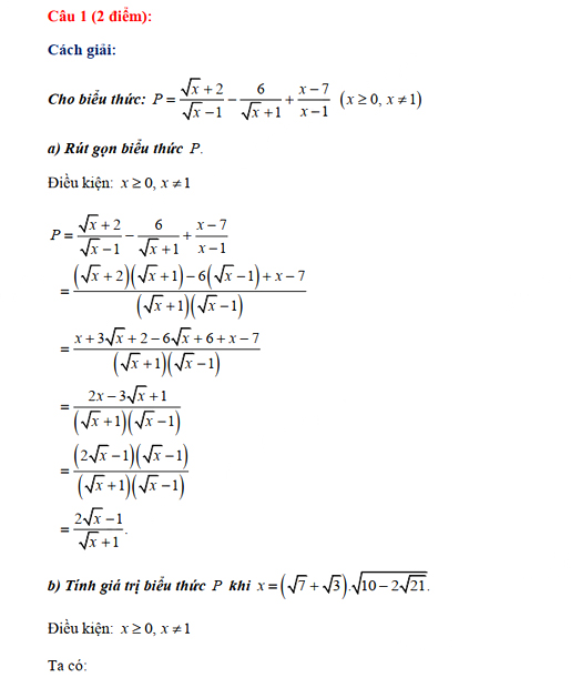
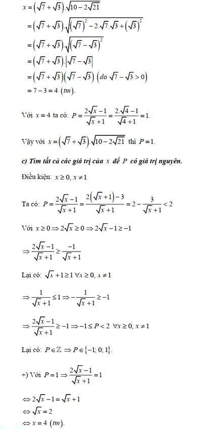
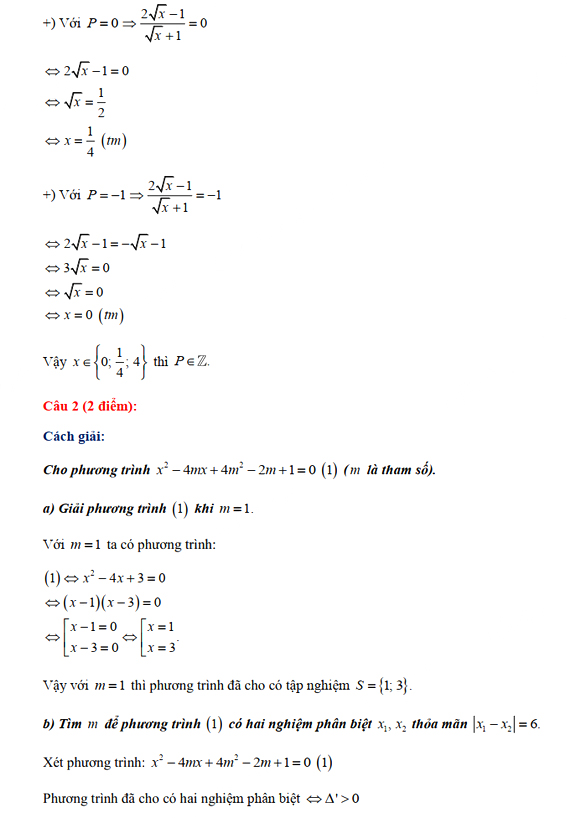
2. Đáp án đề thi vào lớp 10 THPT Chuyên Thái Bình môn Toán 2021






Ngoài ra, VnDoc.com đã thành lập group chia sẻ tài liệu học tập THCS miễn phí trên Facebook: Tài liệu học tập lớp 10. Mời các bạn học sinh tham gia nhóm, để có thể nhận được những tài liệu mới nhất, giúp việc làm quen với môi trường học tập THPT, lớp 10 trở nên dễ dàng hơn. Hãy vào nhóm để nhận tài liệu học tập và nhận giải đáp thắc mắc các môn học nhé.
Đáp án đề thi tuyển sinh lớp 10 môn Toán Chuyên tỉnh Thái Bình năm 2021 kèm theo đáp án chi tiết được VnDoc chia sẻ trên đây giúp các em có thêm tài liệu ôn tập và chuẩn bị tốt hơn cho kì thi vào lớp 10 sắp tới. Chúc các em ôn thi tốt
Tham khảo đề thi tuyển sinh vào lớp 10 THPT Chuyên khác nhé
- Đáp án đề thi tuyển sinh lớp 10 môn Toán Chuyên Quốc Học Huế 2021
- Đáp án đề thi tuyển sinh lớp 10 môn Vật lý Chuyên tỉnh Ninh Thuận năm 2021
- Đáp án đề thi tuyển sinh lớp 10 môn Văn chuyên tỉnh Ninh Thuận năm 2021
- Đáp án đề thi tuyển sinh lớp 10 môn Toán Chuyên tỉnh Ninh Thuận năm 2021
- Đáp án đề thi tuyển sinh lớp 10 môn Văn Thái Bình năm 2021
- Đáp án đề thi tuyển sinh lớp 10 môn Toán Thái Bình năm 2021
.............................................
Ngoài Đáp án đề thi tuyển sinh lớp 10 môn Toán Chuyên tỉnh Thái Bình năm 2021. Mời các em học sinh còn có thể tham khảo các đề thi học kì 2 lớp 9 các môn Toán, Văn, Anh, Lý, Địa, Sinh..Đề thi vào lớp 10 môn Toán, Thi vào lớp 10 môn Văn ... mà chúng tôi đã sưu tầm và chọn lọc. Với đề Thi vào lớp 10 năm 2026 này giúp các bạn rèn luyện thêm kỹ năng giải đề và làm bài tốt hơn. Chúc các em ôn thi tốt