Đáp án đề thi tuyển sinh lớp 10 môn Vật lý Chuyên tỉnh Ninh Thuận năm 2021
Đề thi vào lớp 10 THPT chuyên tỉnh Ninh Thuận môn Vật Lý có hướng dẫn giải chi tiết năm học 2021 - 2022 được VnDoc sưu tầm và đăng tải dưới đây là tài liệu khá hay cho các em học sinh ôn tập, rèn luyện củng cố thêm kiến thức chuẩn bị tốt cho kì thi vào lớp 10 sắp tới. Dưới đây là chi tiết đề và đáp án các em tham khảo
Đáp án đề thi vào lớp 10 THPT chuyên tỉnh Ninh Thuận môn Lý năm 2021
1. Đề thi vào lớp 10 THPT chuyên tỉnh Ninh Thuận môn Lý năm 2021


- Đáp án và Đề thi vào lớp 10 năm 2021 - Tất cả các tỉnh
- Tổng hợp đề thi tuyển sinh lớp 10 môn Toán cả nước năm 2021 - 2022
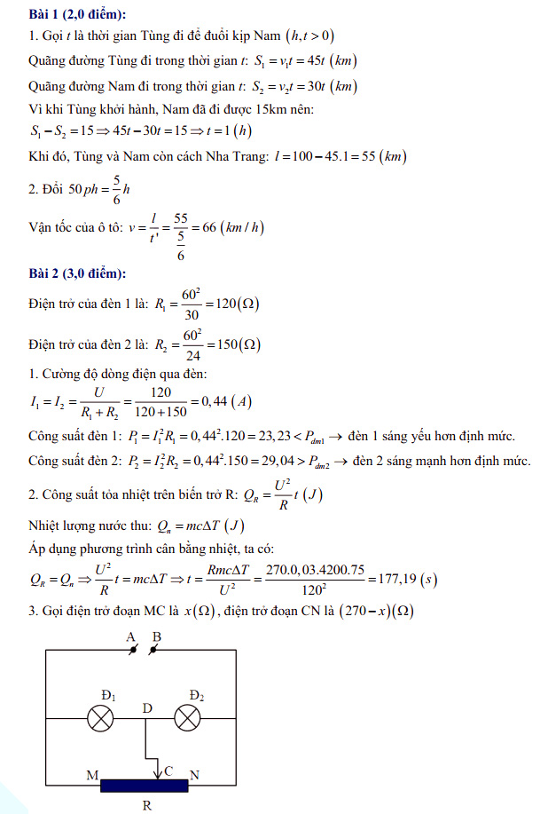
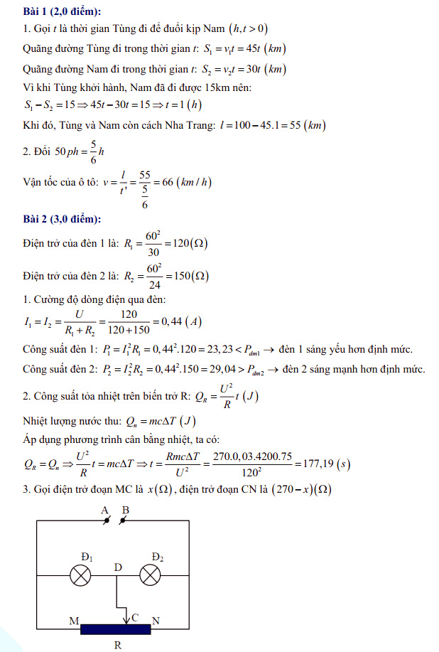
2. Đáp án đề thi vào lớp 10 THPT chuyên tỉnh Ninh Thuận môn Lý năm 2021



Ngoài ra, VnDoc.com đã thành lập group chia sẻ tài liệu học tập THCS miễn phí trên Facebook: Tài liệu học tập lớp 10. Mời các bạn học sinh tham gia nhóm, để có thể nhận được những tài liệu mới nhất, giúp việc làm quen với môi trường học tập THPT, lớp 10 trở nên dễ dàng hơn. Hãy vào nhóm để nhận tài liệu học tập và nhận giải đáp thắc mắc các môn học nhé.
Như vậy VnDoc đã chia sẻ tới các bạn Đáp án đề thi tuyển sinh lớp 10 môn Vật lý Chuyên tỉnh Ninh Thuận năm 2021. Để ôn tập và chuẩn bị tốt hơn cho kì thi vào lớp 10 các bạn tham khảo đề thi vào lớp 10 của các tỉnh khác nhé
- Đề thi tuyển sinh lớp 10 môn Toán Chuyên Hà Nam năm 2021
- Đề thi tuyển sinh lớp 10 môn Toán Chuyên Tây Ninh năm 2021
- Đề thi tuyển sinh lớp 10 môn Vật lý Chuyên Sư Phạm Hà Nội năm 2021
- Đề thi tuyển sinh lớp 10 môn Vật lý Chuyên tỉnh Thái Nguyên năm 2021
- Đáp án đề thi tuyển sinh lớp 10 môn Văn chuyên tỉnh Ninh Thuận năm 2021
- Đáp án đề thi tuyển sinh lớp 10 môn Toán tỉnh Ninh Thuận năm 2021
- Đáp án đề thi tuyển sinh lớp 10 môn Văn tỉnh Ninh Thuận năm 2021
.............................................
Ngoài Đáp án đề thi tuyển sinh lớp 10 môn Vật lý Chuyên tỉnh Ninh Thuận năm 2021. Mời các bạn học sinh còn có thể tham khảo các đề thi học kì 2 lớp 9 các môn Toán, Văn, Anh, Lý, Địa, Sinh mà chúng tôi đã sưu tầm và chọn lọc. Với đề Thi vào lớp 10 năm 2026 này giúp các bạn rèn luyện thêm kỹ năng giải đề và làm bài tốt hơn. Chúc các bạn ôn thi tốt