Đáp án đề thi môn Lý chuyên vào lớp 10 Hà Nội năm 2021
Đáp án đề thi môn Lý chuyên vào lớp 10 Hà Nội năm 2021 được VnDoc sưu tầm và đăng tải. Các em tham khảo chi tiết dưới đây gồm đề thi kèm theo đáp án
Đề thi môn Lý chuyên vào lớp 10 Hà Nội năm 2021
1. Đề thi môn Lý chuyên vào lớp 10 Hà Nội 2021


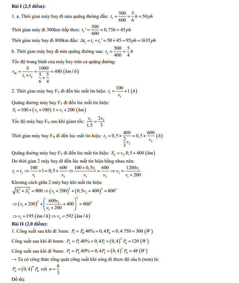
2. Đáp án đề thi môn Lý chuyên vào lớp 10 Hà Nội 2021



Ngoài ra, VnDoc.com đã thành lập group chia sẻ tài liệu học tập THCS miễn phí trên Facebook: Tài liệu học tập lớp 10. Mời các bạn học sinh tham gia nhóm, để có thể nhận được những tài liệu mới nhất, giúp việc làm quen với môi trường học tập THPT, lớp 10 trở nên dễ dàng hơn. Hãy vào nhóm để nhận tài liệu học tập và nhận giải đáp thắc mắc các môn học nhé.
Để ôn tập và chuẩn bị tốt hơn cho kì thi vào lớp 10 các bạn tham khảo đề thi vào lớp 10 của các tỉnh khác nhé
- Đề thi tuyển sinh lớp 10 môn Toán THPT Chuyên Nguyễn Tất Thành, Kon Tum năm 2021 (môn chuyên)
- Đề thi tuyển sinh lớp 10 môn Toán Chuyên Lâm Đồng năm 2021
- Đề thi tuyển sinh lớp 10 môn Toán Chuyên Đắk Nông năm 2021
- Đề thi tuyển sinh lớp 10 môn Toán Chuyên Bình Phước năm 2021
- Đề thi tuyển sinh lớp 10 môn Toán Chuyên Hà Nam năm 2021
- Đề thi tuyển sinh lớp 10 môn Toán Chuyên Tây Ninh năm 2021
- Đề thi tuyển sinh lớp 10 môn Toán Chuyên Hà Tĩnh năm 2021
- Đề thi tuyển sinh lớp 10 môn Vật lý Chuyên Sư Phạm Hà Nội năm 2021
.............................................
Ngoài Đáp án đề thi môn Lý chuyên vào lớp 10 Hà Nội năm 2021. Mời các bạn học sinh còn có thể tham khảo các đề thi học kì 2 lớp 9 các môn Toán, Văn, Anh, Lý, Địa, Sinh mà chúng tôi đã sưu tầm và chọn lọc. Với đề Thi vào lớp 10 năm 2026 này giúp các bạn rèn luyện thêm kỹ năng giải đề và làm bài tốt hơn. Chúc các bạn ôn thi tốt