Đáp án đề thi tuyển sinh lớp 10 môn Toán Chuyên tỉnh Ninh Thuận năm 2021
VnDoc xin giới thiệu đề và đáp án đề thi vào lớp 10 THPT chuyên tỉnh Ninh Thuận môn Toán năm học 2021 - 2022. Nội dung đề thi gồm 6 câu hỏi với thời gian 120 phút giúp các em có thêm tài liệu ôn tập cũng như chuẩn bị tốt cho kì thi sắp tới
Đáp án đề thi vào lớp 10 THPT chuyên tỉnh Ninh Thuận môn Toán 2021
1. Đề thi vào lớp 10 THPT chuyên tỉnh Ninh Thuận môn Toán 2021

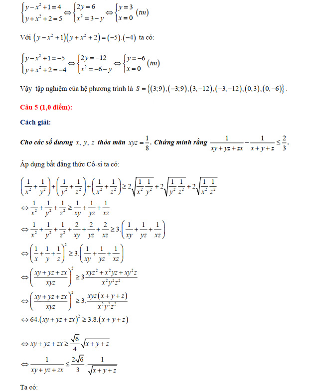
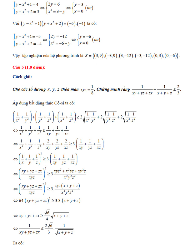
2. Đáp án đề thi vào lớp 10 THPT chuyên tỉnh Ninh Thuận môn Toán 2021






Ngoài ra, VnDoc.com đã thành lập group chia sẻ tài liệu học tập THCS miễn phí trên Facebook: Tài liệu học tập lớp 10. Mời các bạn học sinh tham gia nhóm, để có thể nhận được những tài liệu mới nhất, giúp việc làm quen với môi trường học tập THPT, lớp 10 trở nên dễ dàng hơn. Hãy vào nhóm để nhận tài liệu học tập và nhận giải đáp thắc mắc các môn học nhé.
Đáp án đề thi tuyển sinh lớp 10 môn Toán Chuyên tỉnh Ninh Thuận năm 2021 kèm theo đáp án chi tiết được VnDoc chia sẻ trên đây giúp các em có thêm tài liệu ôn tập và chuẩn bị tốt hơn cho kì thi vào lớp 10 sắp tới. Chúc các em ôn thi tốt
Đề thi tuyển sinh vào lớp 10 THPT Chuyên các tỉnh trong cả nước
- Đáp án đề thi tuyển sinh lớp 10 môn Hóa chuyên Quốc Học Huế năm 2021
- Đáp án đề thi tuyển sinh lớp 10 môn Vật lý Chuyên tỉnh Thừa Thiên Huế năm 2021
- Đáp án đề thi tuyển sinh lớp 10 môn Toán Chuyên Quốc Học Huế 2021
- Đáp án đề thi tuyển sinh lớp 10 môn Vật lý Chuyên tỉnh Ninh Thuận năm 2021
- Đáp án đề thi tuyển sinh lớp 10 môn Văn chuyên tỉnh Ninh Thuận năm 2021
.............................................
Ngoài Đáp án đề thi tuyển sinh lớp 10 môn Toán Chuyên tỉnh Ninh Thuận năm 2021. Mời các em học sinh còn có thể tham khảo các đề thi học kì 2 lớp 9 các môn Toán, Văn, Anh, Lý, Địa, Sinh..Đề thi vào lớp 10 môn Toán, Thi vào lớp 10 môn Văn ... mà chúng tôi đã sưu tầm và chọn lọc. Với đề Thi vào lớp 10 năm 2026 này giúp các bạn rèn luyện thêm kỹ năng giải đề và làm bài tốt hơn. Chúc các em ôn thi tốt