Đáp án đề thi tuyển sinh lớp 10 môn Toán Hải Phòng năm 2021
Đáp án đề thi tuyển sinh lớp 10 môn Toán Sở GD&ĐT Hải Phòng năm 2021 - 2022 được VnDoc sưu tầm và đăng tải. Hy vọng đề thi này sẽ giúp ích cho các em học sinh có thêm tài liệu ôn tập chuẩn bị tốt cho kì thi vào lớp 10 sắp tới
Đề thi vào lớp 10 môn Toán Hải Phòng năm 2021
1. Đáp án đề thi vào lớp 10 môn Toán Hải Phòng năm 2021
Hướng dẫn chi tiết đáp án
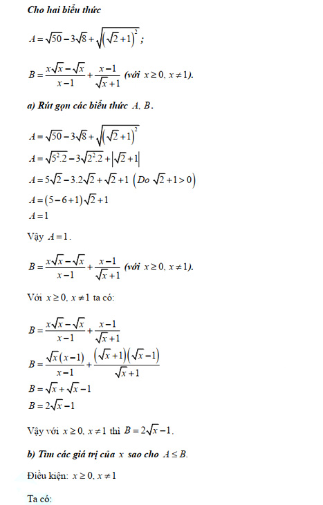
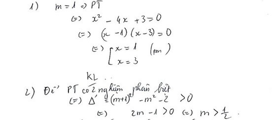
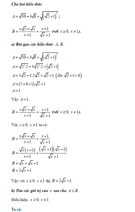
Câu 1


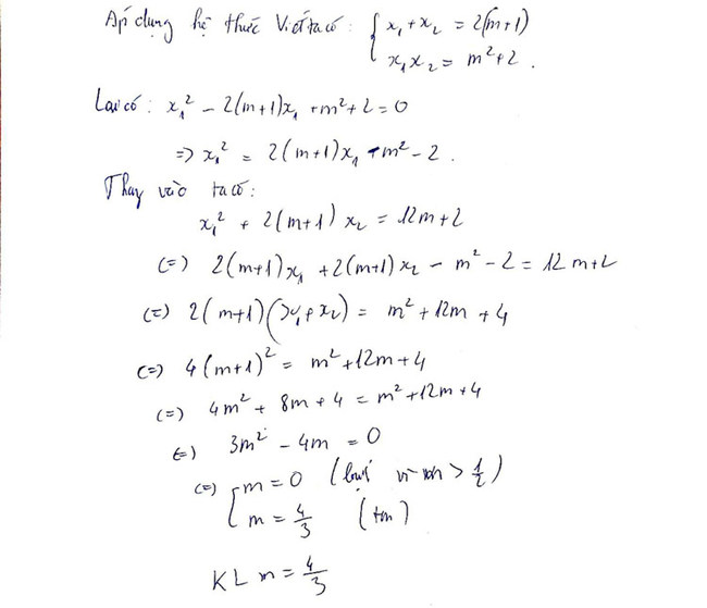
Câu 2


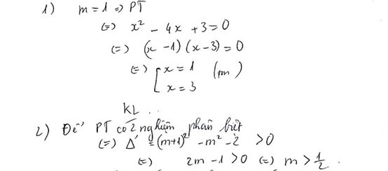
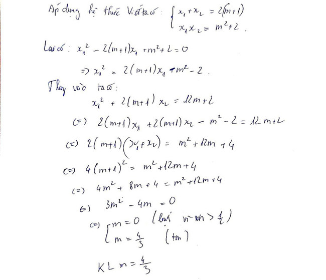
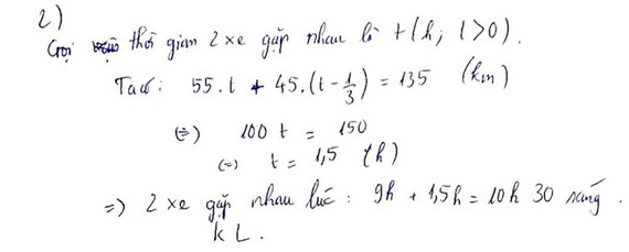
Câu 3



Câu 4

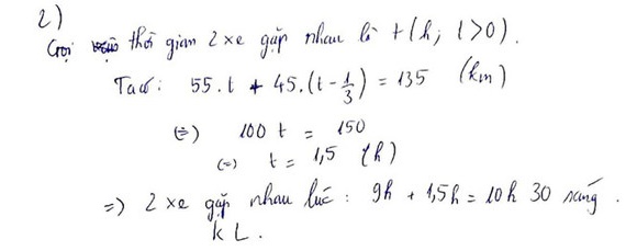
Câu 5

đáp án đang cập nhật
2. Đề thi vào lớp 10 môn Toán Hải Phòng năm 2021


- 95 Đề thi tuyển sinh vào lớp 10 môn Toán
- 40 Đề thi Toán vào lớp 10 chọn lọc
- 21 Đề thi vào lớp 10 môn Toán
- Đáp án và Đề thi vào lớp 10 năm 2021 - Tất cả các tỉnh
- Tổng hợp đề thi tuyển sinh lớp 10 môn Toán cả nước năm 2021 - 2022
Ngoài ra, VnDoc.com đã thành lập group chia sẻ tài liệu học tập THCS miễn phí trên Facebook: Tài liệu học tập lớp 10. Mời các bạn học sinh tham gia nhóm, để có thể nhận được những tài liệu mới nhất, giúp việc làm quen với môi trường học tập THPT, lớp 10 trở nên dễ dàng hơn. Hãy vào nhóm để nhận tài liệu học tập và nhận giải đáp thắc mắc các môn học nhé.
Để ôn tập và chuẩn bị tốt hơn cho kì thi vào lớp 10 các bạn tham khảo đề thi vào lớp 10 của các tỉnh khác nhé
- Đáp án đề thi tuyển sinh lớp 10 môn Toán tỉnh Hà Tĩnh năm 2021
- Đáp án đề thi tuyển sinh lớp 10 môn Toán tỉnh An Giang năm 2021
- Đáp án đề thi tuyển sinh lớp 10 môn Toán tỉnh Ninh Bình năm 2021
- Đáp án đề thi tuyển sinh lớp 10 môn Toán tỉnh Quảng Ninh năm 2021
- Đáp án đề thi tuyển sinh lớp 10 môn Toán tỉnh Bình Dương năm 2021
- Đáp án đề thi tuyển sinh lớp 10 môn Toán tỉnh Ninh Thuận năm 2021
- Đáp án đề thi tuyển sinh lớp 10 môn Toán tỉnh Hải Dương năm 2021
- Đáp án đề thi tuyển sinh lớp 10 môn Toán tỉnh Bình Phước năm 2021
- Đáp án đề thi tuyển sinh lớp 10 môn Toán tỉnh Tây Ninh năm 2021
- Đáp án đề thi tuyển sinh lớp 10 môn Toán tỉnh Thái Nguyên năm 2021
- Đáp án đề thi tuyển sinh lớp 10 môn Toán tỉnh Quảng Bình năm 2021
- Đáp án đề thi tuyển sinh lớp 10 môn Toán tỉnh Đắk Lắk năm 2021
- Đáp án đề thi tuyển sinh lớp 10 môn Toán tỉnh Bình Định năm 2021
.............................................
Ngoài Đáp án đề thi tuyển sinh lớp 10 môn Toán Hải Phòng năm 2021. Mời các bạn học sinh còn có thể tham khảo các đề thi học kì 2 lớp 9 các môn Toán, Văn, Anh, Lý, Địa, Sinh mà chúng tôi đã sưu tầm và chọn lọc. Với đề Thi vào lớp 10 năm 2026 này giúp các bạn rèn luyện thêm kỹ năng giải đề và làm bài tốt hơn. Chúc các bạn ôn thi tốt