Đề thi tuyển sinh lớp 10 môn Toán Chuyên Nghệ An năm 2021
Đề thi tuyển sinh lớp 10 môn Toán trường THPT Chuyên Phan Bội Châu, trường THPT Chuyên Đại học Vinh năm học 2021 - 2021 tỉnh Nghệ An môn Toán. Tham khảo chị tiết đề và đáp án môn Toán trường Chuyên Nghệ An dưới đây
Đề thi vào lớp 10 THPT Chuyên - Nghệ An môn Toán 2021
1. Đáp án đề thi vào lớp 10 THPT Chuyên - Nghệ An môn Toán 2021
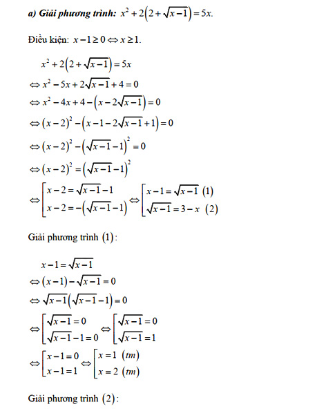
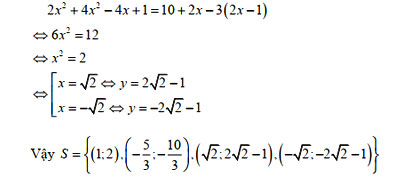
Câu 1



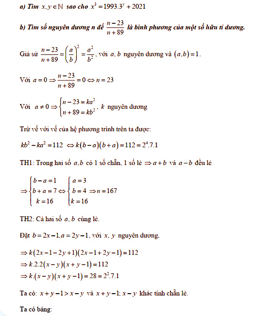
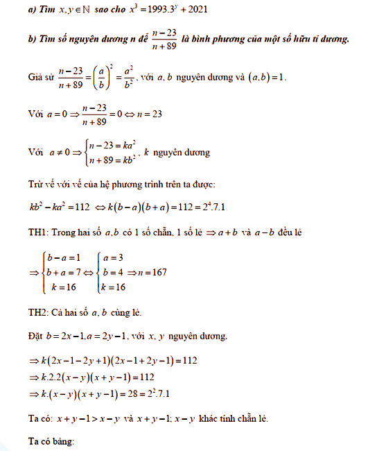
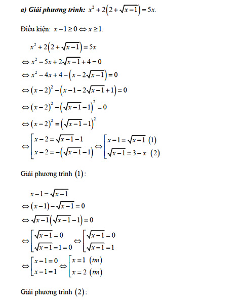
Câu 2


Câu 4


đang cập nhật
2. Đề thi vào lớp 10 THPT Chuyên - Nghệ An môn Toán 2021

Ngoài ra, VnDoc.com đã thành lập group chia sẻ tài liệu học tập THCS miễn phí trên Facebook: Tài liệu học tập lớp 10. Mời các bạn học sinh tham gia nhóm, để có thể nhận được những tài liệu mới nhất, giúp việc làm quen với môi trường học tập THPT, lớp 10 trở nên dễ dàng hơn. Hãy vào nhóm để nhận tài liệu học tập và nhận giải đáp thắc mắc các môn học nhé.
Để ôn tập và chuẩn bị tốt hơn cho kì thi vào lớp 10 các bạn tham khảo đề thi vào lớp 10 của các tỉnh khác nhé
- Đáp án đề thi tuyển sinh lớp 10 môn Toán Trường THPT Chuyên Quốc Học Huế năm 2021 (đề chuyên)
- Đáp án đề thi tuyển sinh lớp 10 môn Toán tỉnh Bến Tre năm 2021 (đề chuyên)
- Đáp án đề thi tuyển sinh lớp 10 môn Toán Chuyên Hà Nội 2021 (chuyên Toán)
- Đáp án đề thi tuyển sinh lớp 10 môn Toán Chuyên Tin Hà Nội 2021 (chuyên Tin)
- Đề thi tuyển sinh lớp 10 môn Toán Chuyên Sóc Trăng 2021
- Đề thi tuyển sinh lớp 10 môn Toán Vĩnh Phúc 2021 (đề Chuyên)
- Đề thi tuyển sinh lớp 10 môn Toán Chuyên Đồng Nai 2021
.............................................
Ngoài Đề thi tuyển sinh lớp 10 môn Toán Chuyên Nghệ An năm 2021. Mời các bạn học sinh còn có thể tham khảo các đề thi học kì 2 lớp 9 các môn Toán, Văn, Anh, Lý, Địa, Sinh mà chúng tôi đã sưu tầm và chọn lọc. Với đề Thi vào lớp 10 năm 2026 này giúp các bạn rèn luyện thêm kỹ năng giải đề và làm bài tốt hơn. Chúc các bạn ôn thi tốt