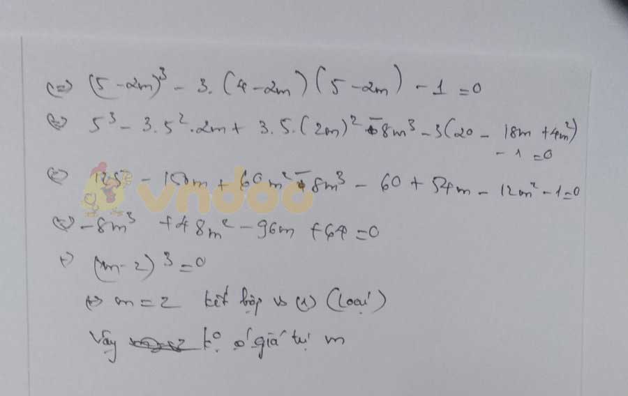
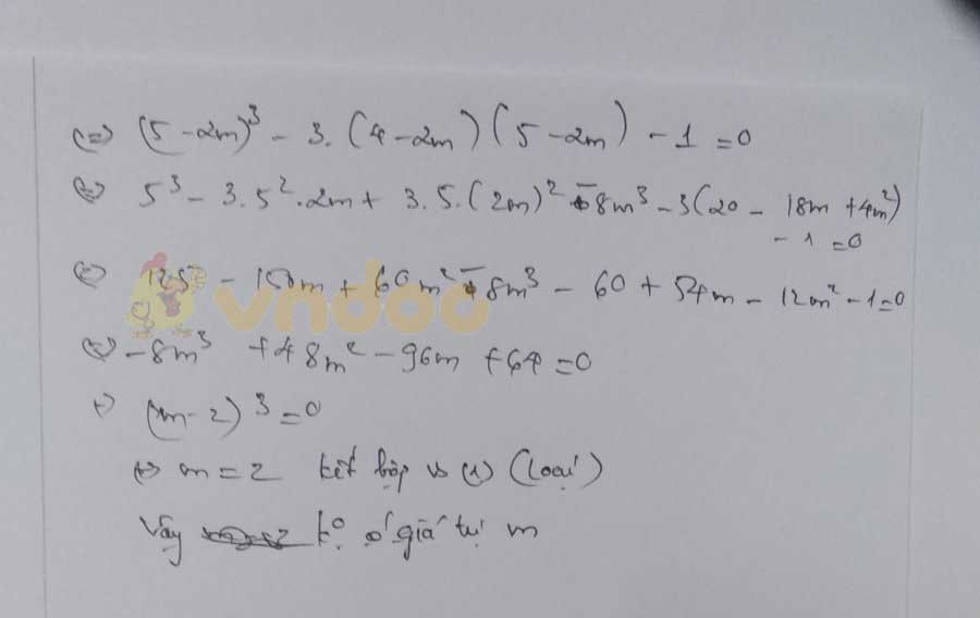
Đáp án đề thi tuyển sinh lớp 10 môn Toán tỉnh Vĩnh Long năm 2020
Đề thi tuyển sinh lớp 10 môn Toán Sở GD&ĐT Vĩnh Long năm 2020
Đáp án đề thi tuyển sinh lớp 10 môn Toán tỉnh Vĩnh Long năm 2020. Tài liệu giúp các bạn học sinh củng cố lại phần kiến thức đã học và kỹ năng giải đề thi, biết cách phân bổ thời gian làm bài sao cho hợp lý. Mời các bạn cùng tham khảo
HOT: Điểm chuẩn, điểm thi vào lớp 10 tỉnh Vĩnh Long năm 2020
- 95 Đề thi tuyển sinh vào lớp 10 môn Toán
- 40 Đề thi Toán vào lớp 10 chọn lọc
- 21 Đề thi vào lớp 10 môn Toán
- Bộ đề thi tuyển sinh lớp 10 môn Toán năm 2020
Ngoài ra, VnDoc.com đã thành lập group chia sẻ tài liệu học tập THCS miễn phí trên Facebook: Tài liệu học tập lớp 9. Mời các bạn học sinh tham gia nhóm, để có thể nhận được những tài liệu mới nhất.
Đáp án đề thi tuyển sinh lớp 10 môn Toán tỉnh Vĩnh Long năm 2020







Đề thi tuyển sinh lớp 10 môn Toán tỉnh Vĩnh Long năm 2020

Tham khảo thêm: Đáp án đề thi tuyển sinh lớp 10 môn Văn tỉnh Vĩnh Long năm 2020
- Đáp án đề thi tuyển sinh lớp 10 môn Toán Hà Nội năm 2020
- Đáp án đề thi tuyển sinh lớp 10 môn Toán Bến Tre năm 2020
- Đáp án đề thi tuyển sinh lớp 10 môn Toán Bình Định năm 2020
- Đáp án đề thi tuyển sinh lớp 10 môn Toán tỉnh Thừa Thiên Huế năm 2020
- Đáp án đề thi tuyển sinh lớp 10 môn Toán tỉnh An Giang năm 2020
- Đáp án đề thi tuyển sinh lớp 10 môn Toán tỉnh Nghệ An năm 2020
- Đáp án đề thi tuyển sinh lớp 10 môn Toán tỉnh Ninh Thuận năm 2020
- Đáp án đề thi tuyển sinh lớp 10 môn Toán tỉnh Đà Nẵng năm 2020
.............................................
Ngoài Đáp án đề thi tuyển sinh lớp 10 môn Toán tỉnh Vĩnh Long năm 2020. Mời các bạn học sinh còn có thể tham khảo các đề thi học kì 2 lớp 9 các môn Toán, Văn, Anh, Lý, Địa, Sinh mà chúng tôi đã sưu tầm và chọn lọc. Với đề Thi vào lớp 10 năm 2026 này giúp các bạn rèn luyện thêm kỹ năng giải đề và làm bài tốt hơn. Chúc các bạn ôn thi tốt