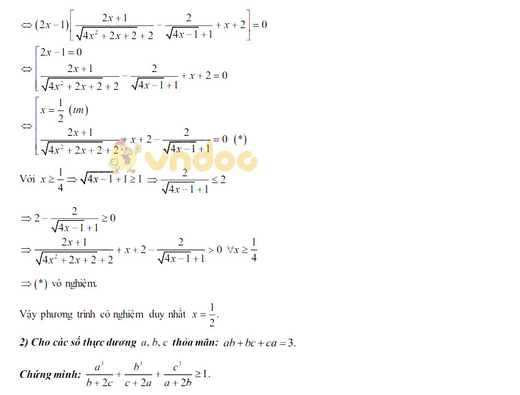
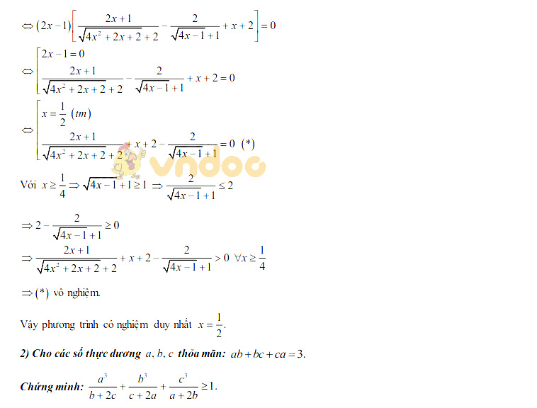
Đáp án đề thi tuyển sinh lớp 10 môn Toán tỉnh Nam Định năm 2020
Đề thi tuyển sinh lớp 10 môn Toán Sở GD&ĐT Nam Định năm 2020
HOT: Điểm thi, điểm chuẩn vào lớp 10 tỉnh Nam Định năm 2020
Đáp án đề thi tuyển sinh lớp 10 môn Toán tỉnh Nam Định năm 2020 được diễn ra vào chiều ngày 23/07/2020 được VnDoc sưu tầm và đăng tải. Đây là đề thi tham khảo vào lớp 10 môn Toán dành cho các bạn học sinh ôn tập, củng cố kiến thức, rèn luyện kĩ năng làm bài Toán. Mời các bạn cùng tham khảo
Lưu ý đề thi chính thức: Đáp án đề thi tuyển sinh lớp 10 môn Toán tỉnh Nam Định năm 2020
- 95 Đề thi tuyển sinh vào lớp 10 môn Toán
- 40 Đề thi Toán vào lớp 10 chọn lọc
- 21 Đề thi vào lớp 10 môn Toán
Để tiện trao đổi, chia sẻ kinh nghiệm về giảng dạy và học tập các môn học lớp 9, VnDoc mời các thầy cô giáo, các bậc phụ huynh và các bạn học sinh truy cập nhóm riêng dành cho lớp 9 sau: Nhóm Tài liệu học tập lớp 9. Rất mong nhận được sự ủng hộ của các thầy cô và các bạn.
Đáp án đề thi tuyển sinh lớp 10 môn Toán tỉnh Nam Định năm 2020









Đề thi tuyển sinh lớp 10 môn Toán tỉnh Nam Định năm 2020


Để chuẩn bị năm học mới vào lớp 10 các em tham gia vào nhóm Facebook do VnDoc chia sẻ, các em sẽ nhận trực tiếp các bài tập Toán, Văn, Tiếng Anh.. cùng các bài tập nâng cao cũng như các thông tin liên đến chương trình đào tạo lớp 10 khác hấp dẫn
Ngoài ra, VnDoc.com đã thành lập group chia sẻ tài liệu học tập THCS miễn phí trên Facebook: Tài liệu học tập lớp 10. Mời các bạn học sinh tham gia nhóm, để có thể nhận được những tài liệu mới nhất.
- Đáp án đề thi tuyển sinh lớp 10 môn Toán tỉnh Đồng Nai năm 2020
- Đáp án đề thi tuyển sinh lớp 10 môn Toán tỉnh Tuyên Quang năm 2020
- Đáp án đề thi tuyển sinh lớp 10 môn Toán tỉnh Sơn La năm 2020
- Đáp án đề thi tuyển sinh lớp 10 môn Toán tỉnh Đồng Tháp năm 2020
- Đáp án đề thi tuyển sinh lớp 10 môn Toán tỉnh Trà Vinh năm 2020
- Đáp án đề thi tuyển sinh lớp 10 môn Toán tỉnh Lạng Sơn năm 2020
- Đáp án đề thi tuyển sinh lớp 10 môn Toán tỉnh Cà Mau năm 2020
.............................................
Ngoài Đáp án đề thi tuyển sinh lớp 10 môn Toán tỉnh Nam Định năm 2020. Mời các bạn học sinh còn có thể tham khảo các đề thi học kì 2 lớp 9 các môn Toán, Văn, Anh, Lý, Địa, Sinh mà chúng tôi đã sưu tầm và chọn lọc. Với đề Thi vào lớp 10 năm 2026 này giúp các bạn rèn luyện thêm kỹ năng giải đề và làm bài tốt hơn. Chúc các bạn ôn thi tốt