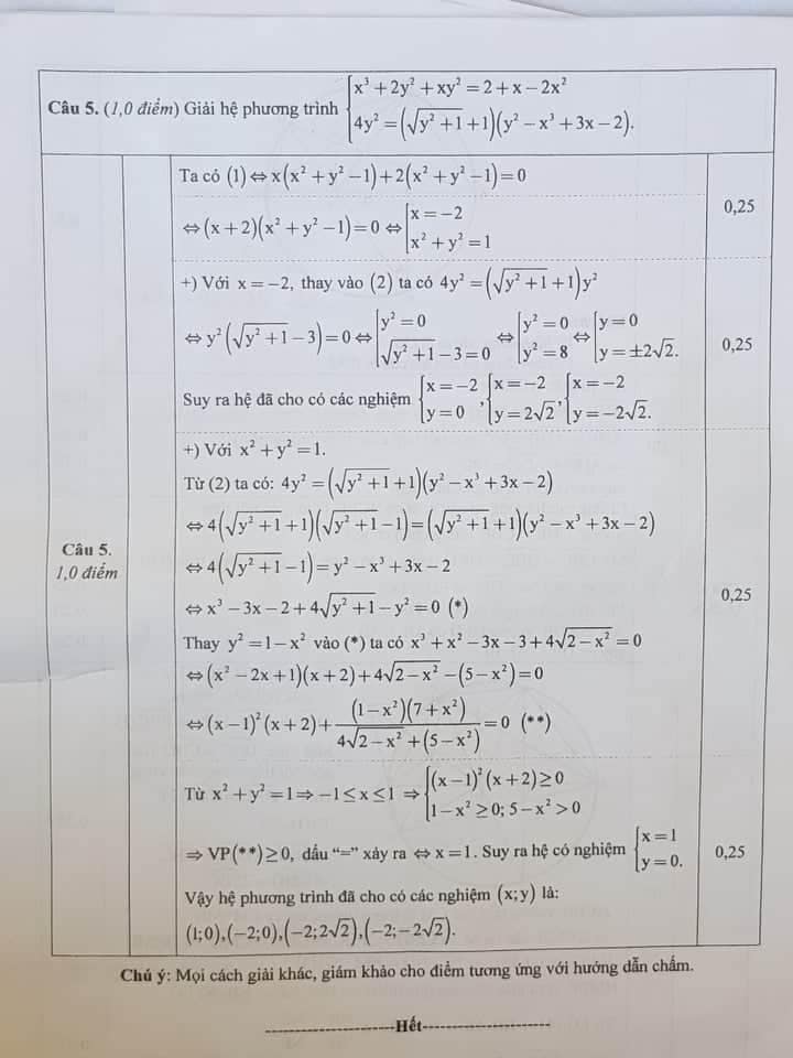
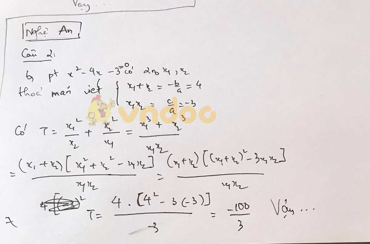
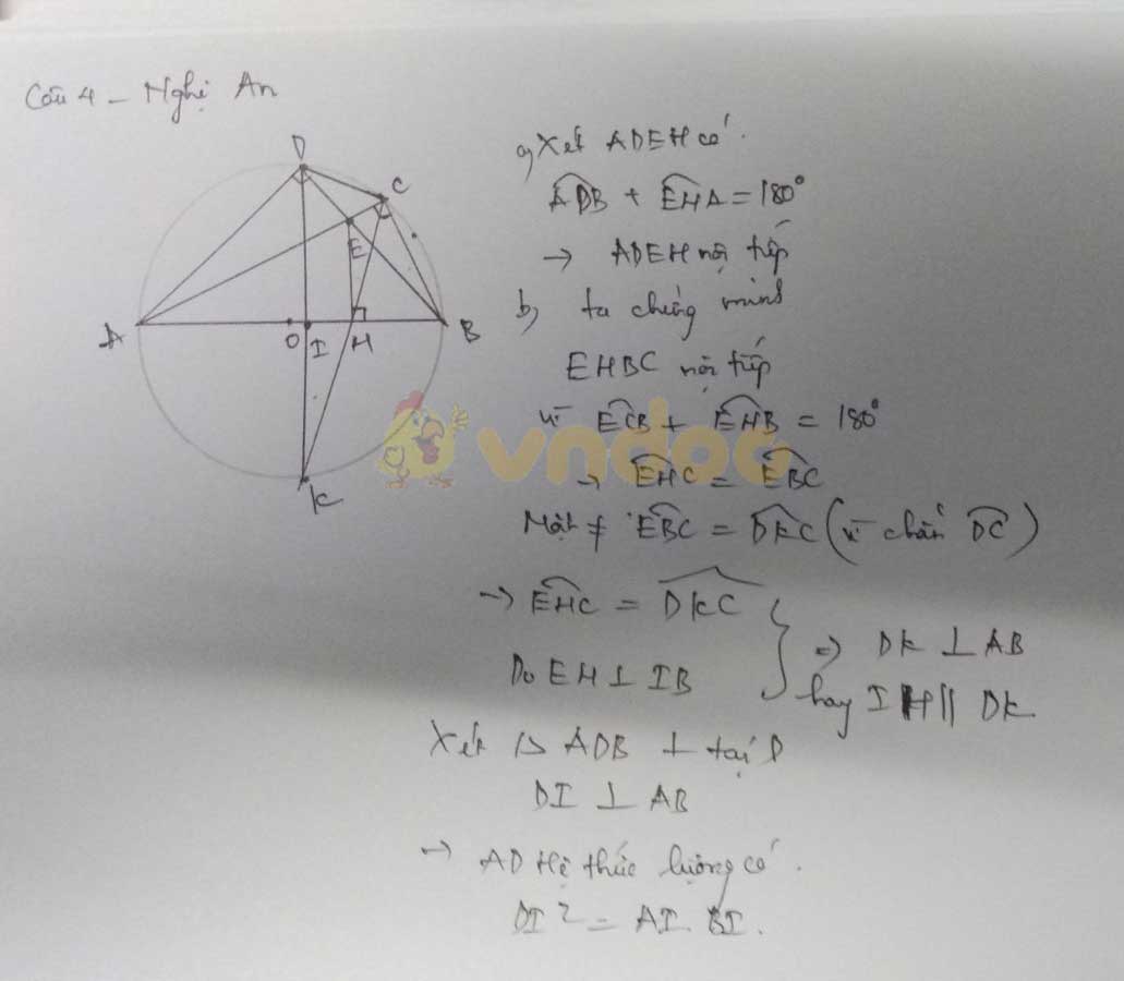
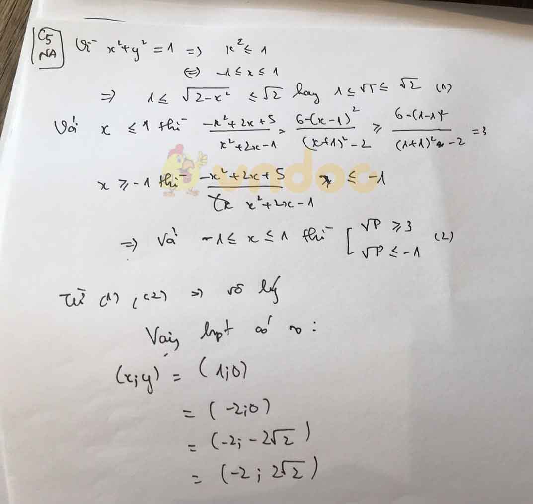
Đáp án đề thi tuyển sinh lớp 10 môn Toán tỉnh Nghệ An năm 2020
Đề thi tuyển sinh lớp 10 môn Toán Sở GD&ĐT Nghệ An năm 2020
Đáp án đề thi tuyển sinh lớp 10 môn Toán tỉnh Nghệ An năm 2020 được VnDoc sưu tầm và chia sẻ. Được VnDoc sưu tầm và đăng tải, kèm lời giải chi tiết cho các bạn đánh giá so sánh, hy vọng tài liệu này sẽ giúp ích cho các bạn học sinh ôn tập, chuẩn bị tốt cho kì thi vào lớp 10 THPT sắp tới. Mời các bạn cùng tham khảo
Lưu ý: Tra cứu điểm thi tuyển sinh lớp 10 Nghệ An năm 2020
- 95 Đề thi tuyển sinh vào lớp 10 môn Toán
- 40 Đề thi Toán vào lớp 10 chọn lọc
- 21 Đề thi vào lớp 10 môn Toán
- Bộ đề thi tuyển sinh lớp 10 môn Toán năm 2020
Để tiện trao đổi, chia sẻ kinh nghiệm về giảng dạy và học tập các môn học lớp 9, VnDoc mời các thầy cô giáo, các bậc phụ huynh và các bạn học sinh truy cập nhóm riêng dành cho lớp 9 sau: Nhóm Tài liệu học tập lớp 9. Rất mong nhận được sự ủng hộ của các thầy cô và các bạn.
HOT: Đáp án đề thi tuyển sinh lớp 10 môn Toán tỉnh Nghệ An năm 2021
Đáp án chính thức đề thi tuyển sinh lớp 10 môn Toán Sở GD&ĐT Nghệ An năm 2020




Đề thi tuyển sinh lớp 10 môn Toán tỉnh Nghệ An năm 2020

Đáp án đề thi tuyển sinh lớp 10 môn Toán tỉnh Nghệ An năm 2020 được đội ngũ giáo viên Vndoc giải đáp







Tham khảo thêm: Đáp án đề thi tuyển sinh lớp 10 môn Văn tỉnh Nghệ An năm 2020
- Đáp án đề thi tuyển sinh lớp 10 môn Toán tỉnh Bắc Giang năm 2020
- Đáp án đề thi tuyển sinh lớp 10 môn Toán tỉnh Hải Phòng năm 2020
- Đáp án đề thi tuyển sinh lớp 10 môn Toán tỉnh Hậu Giang năm 2020
- Đáp án đề thi tuyển sinh lớp 10 môn Toán Hà Nội năm 2020
- Đáp án đề thi tuyển sinh lớp 10 môn Toán Bến Tre năm 2020
- Đáp án đề thi tuyển sinh lớp 10 môn Toán Bình Định năm 2020
- Đáp án đề thi tuyển sinh lớp 10 môn Toán tỉnh Thừa Thiên Huế năm 2020
- Đáp án đề thi tuyển sinh lớp 10 môn Toán tỉnh An Giang năm 2020
.............................................
Ngoài Đáp án đề thi tuyển sinh lớp 10 môn Toán tỉnh Nghệ An năm 2020. Mời các bạn học sinh còn có thể tham khảo các đề thi học kì 2 lớp 9 các môn Toán, Văn, Anh, Lý, Địa, Sinh mà chúng tôi đã sưu tầm và chọn lọc. Với đề Thi vào lớp 10 năm 2026 này giúp các bạn rèn luyện thêm kỹ năng giải đề và làm bài tốt hơn. Chúc các bạn ôn thi tốt