Đề thi vào lớp 10 môn Toán 2019 trường THPT Chuyên Phan Bội Châu - Nghệ An
Đề thi Chuyên Toán vào lớp 10 tỉnh Nghệ An 2019
Đề thi vào lớp 10 môn Toán 2019 trường THPT Chuyên Phan Bội Châu - Nghệ An được VnDoc.com sưu tầm và đăng tải. Đề thi gồm 5 câu hỏi nằm trong trương trình Toán lớp 9 (THCS). Mời các bạn tham khảo đề thi dưới đây
- Đáp án đề thi vào lớp 10 môn Toán tỉnh Lạng Sơn năm 2019
- Đáp án đề thi vào lớp 10 môn Toán tỉnh Nghệ An năm 2019
- Đáp án đề thi vào lớp 10 môn Toán Chuyên 2019 TH Thực Hành - ĐHSP Hồ Chí Minh
- Đề thi vào lớp 10 môn Toán Chuyên 2019 tỉnh Đắk Lắk

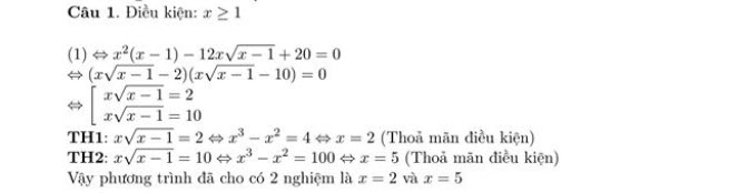
Gợi ý đáp án đề thi vào lớp 10 môn Toán 2019 Chuyên Phan Bội Châu




.............................................
Ngoài Đề thi vào lớp 10 môn Toán 2019 trường THPT Chuyên Phan Bội Châu - Nghệ An. Mời các bạn học sinh còn có thể tham khảo các đề thi học kì 2 lớp 9 các môn Toán, Văn, Anh, Lý, Địa, Sinh mà chúng tôi đã sưu tầm và chọn lọc. Với đề Thi vào lớp 10 năm 2019 này giúp các bạn rèn luyện thêm kỹ năng giải đề và làm bài tốt hơn. Chúc các bạn ôn thi tốt