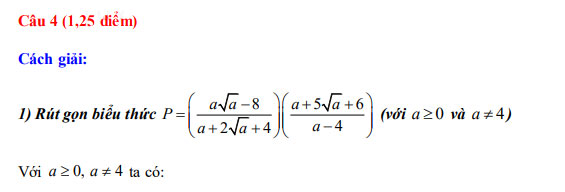
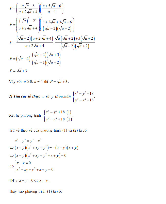
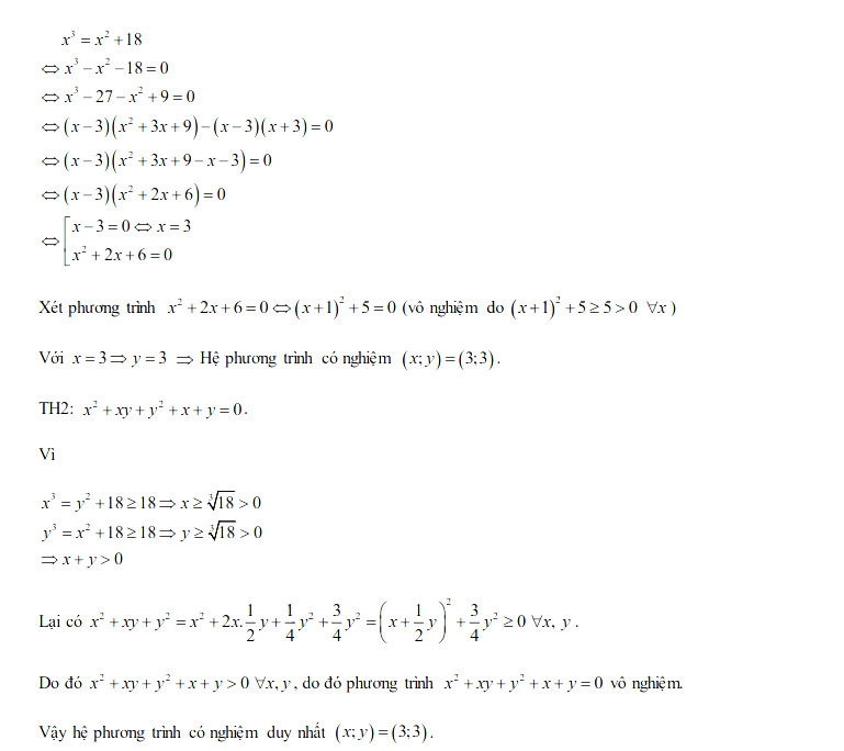
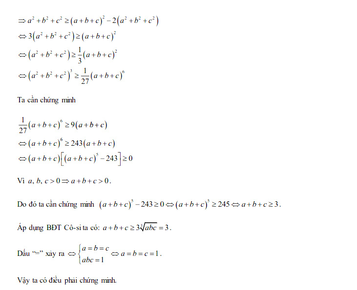
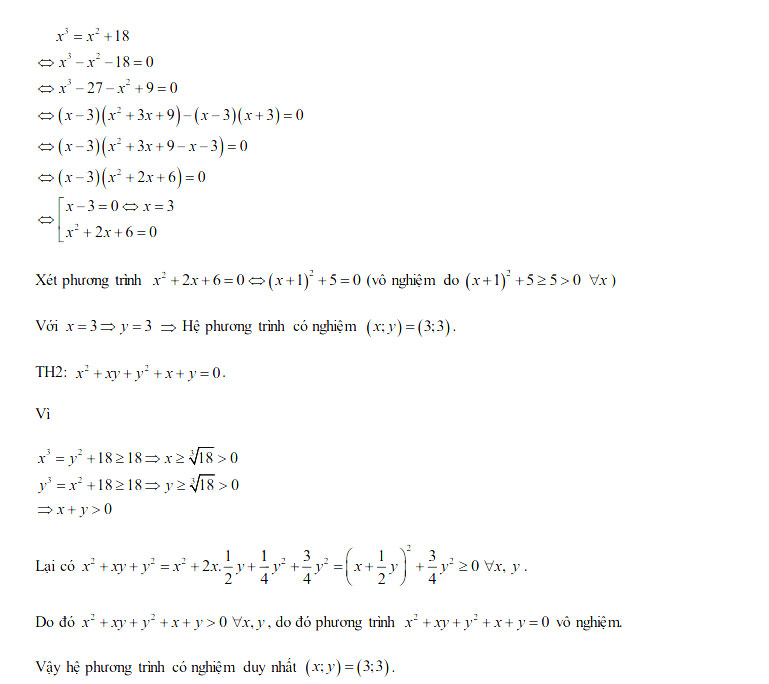
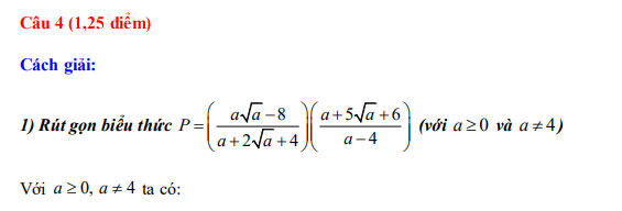
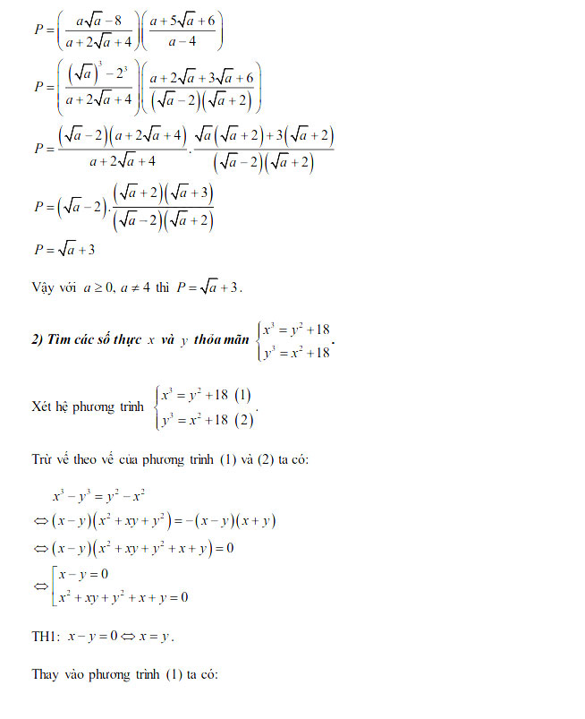
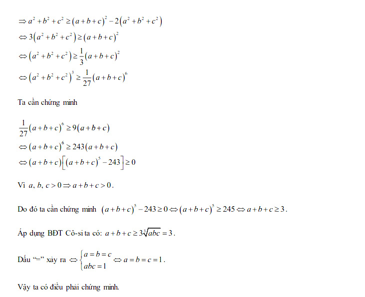
Đáp án đề thi tuyển sinh lớp 10 môn Toán tỉnh Đồng Nai năm 2020
Đề thi tuyển sinh lớp 10 môn Toán Sở GD&ĐT Đồng Nai năm 2020
Đáp án đề thi tuyển sinh lớp 10 môn Toán tỉnh Đồng Nai năm 2020 được diễn ra vào sáng ngày 22/07/2020 được VnDoc sưu tầm và đăng tải. Đây là đề thi tham khảo vào lớp 10 môn Toán dành cho các bạn học sinh ôn tập, củng cố kiến thức, rèn luyện kĩ năng làm bài Toán. Mời các bạn cùng tham khảo
Lưu ý: Điểm chuẩn, điểm thi vào lớp 10 tỉnh Đồng Nai năm 2020
- Đáp án đề thi tuyển sinh lớp 10 môn Văn tỉnh Đồng Nai năm 2020
- Đề thi tuyển sinh lớp 10 môn Văn tỉnh Hưng Yên năm 2020
- Đề thi tuyển sinh lớp 10 môn Văn tỉnh Bạc Liêu năm 2020
- Đề thi tuyển sinh lớp 10 chuyên Hóa năm 2020 tỉnh Bạc Liêu
- Đề thi tuyển sinh lớp 10 môn Văn tỉnh Bạc Liêu năm 2020
- Đề thi tuyển sinh lớp 10 môn Văn Sở GD&ĐT Bình Dương năm 2020
Để tiện trao đổi, chia sẻ kinh nghiệm về giảng dạy và học tập các môn học lớp 9, VnDoc mời các thầy cô giáo, các bậc phụ huynh và các bạn học sinh truy cập nhóm riêng dành cho lớp 9 sau: Nhóm Tài liệu học tập lớp 9. Rất mong nhận được sự ủng hộ của các thầy cô và các bạn.
Đáp án đề thi tuyển sinh lớp 10 môn Toán tỉnh Đồng Nai năm 2020












đáp án đang cập nhật
Đề thi tuyển sinh lớp 10 môn Toán tỉnh Đồng Nai năm 2020

Để chuẩn bị năm học mới vào lớp 10 các em tham gia vào nhóm Facebook do VnDoc chia sẻ, các em sẽ nhận trực tiếp các bài tập Toán, Văn, Tiếng Anh.. cùng các bài tập nâng cao cũng như các thông tin liên đến chương trình đào tạo lớp 10 khác hấp dẫn
Ngoài ra, VnDoc.com đã thành lập group chia sẻ tài liệu học tập THCS miễn phí trên Facebook: Tài liệu học tập lớp 10. Mời các bạn học sinh tham gia nhóm, để có thể nhận được những tài liệu mới nhất.
- 95 Đề thi tuyển sinh vào lớp 10 môn Toán
- 40 Đề thi Toán vào lớp 10 chọn lọc
- 21 Đề thi vào lớp 10 môn Toán
- Đáp án đề thi tuyển sinh lớp 10 môn Văn tỉnh Thái Nguyên năm 2020
- Đáp án đề thi tuyển sinh lớp 10 môn Toán tỉnh Phú Yên năm 2020
- Đáp án đề thi tuyển sinh lớp 10 môn Toán tỉnh Đắk Lắk năm 2020
- Đáp án đề thi tuyển sinh lớp 10 môn Toán tỉnh Yên Bái năm 2020
- Đáp án đề thi tuyển sinh lớp 10 môn Toán tỉnh Bà Rịa - Vũng Tàu năm 2020
- Đáp án đề thi tuyển sinh lớp 10 môn Toán tỉnh Quảng Trị năm 2020
- Đáp án đề thi tuyển sinh lớp 10 môn Toán tỉnh Đắk Nông năm 2020
.............................................
Ngoài Đáp án đề thi tuyển sinh lớp 10 môn Toán tỉnh Đồng Nai năm 2020. Mời các bạn học sinh còn có thể tham khảo các đề thi học kì 2 lớp 9 các môn Toán, Văn, Anh, Lý, Địa, Sinh mà chúng tôi đã sưu tầm và chọn lọc. Với đề Thi vào lớp 10 năm 2026 này giúp các bạn rèn luyện thêm kỹ năng giải đề và làm bài tốt hơn. Chúc các bạn ôn thi tốt