Đáp án đề thi tuyển sinh lớp 10 môn Toán chuyên năm 2020 Sở GD&ĐT Hà Nam
Đề thi tuyển sinh lớp 10 môn Toán chuyên Sở GD&ĐT Hà Nam năm 2020
Đáp án đề thi tuyển sinh lớp 10 môn Toán chuyên năm 2020 Sở GD&ĐT Hà Nam do thư viện đề thi VnDoc.com sưu tầm. Đây là đề thi tham khảo vào lớp 10 môn Toán dành cho các bạn học sinh ôn tập, củng cố kiến thức, rèn luyện kĩ năng làm bài Toán. Mời các bạn cùng tham khảo
- Đáp án đề thi tuyển sinh lớp 10 môn Văn chuyên năm 2020 Sở GD&ĐT Hà Nam
- Đề thi tuyển sinh vào lớp 10 môn Toán THPT Chuyên Sư Phạm Hà Nội năm học 2019 - 2020
- Đề thi tuyển sinh lớp 10 môn Toán chuyên năm 2020 THPT Chuyên Sư Phạm Hà Nội
Để tiện trao đổi, chia sẻ kinh nghiệm về giảng dạy và học tập các môn học lớp 9, VnDoc mời các thầy cô giáo, các bậc phụ huynh và các bạn học sinh truy cập nhóm riêng dành cho lớp 9 sau: Nhóm Tài liệu học tập lớp 9. Rất mong nhận được sự ủng hộ của các thầy cô và các bạn.

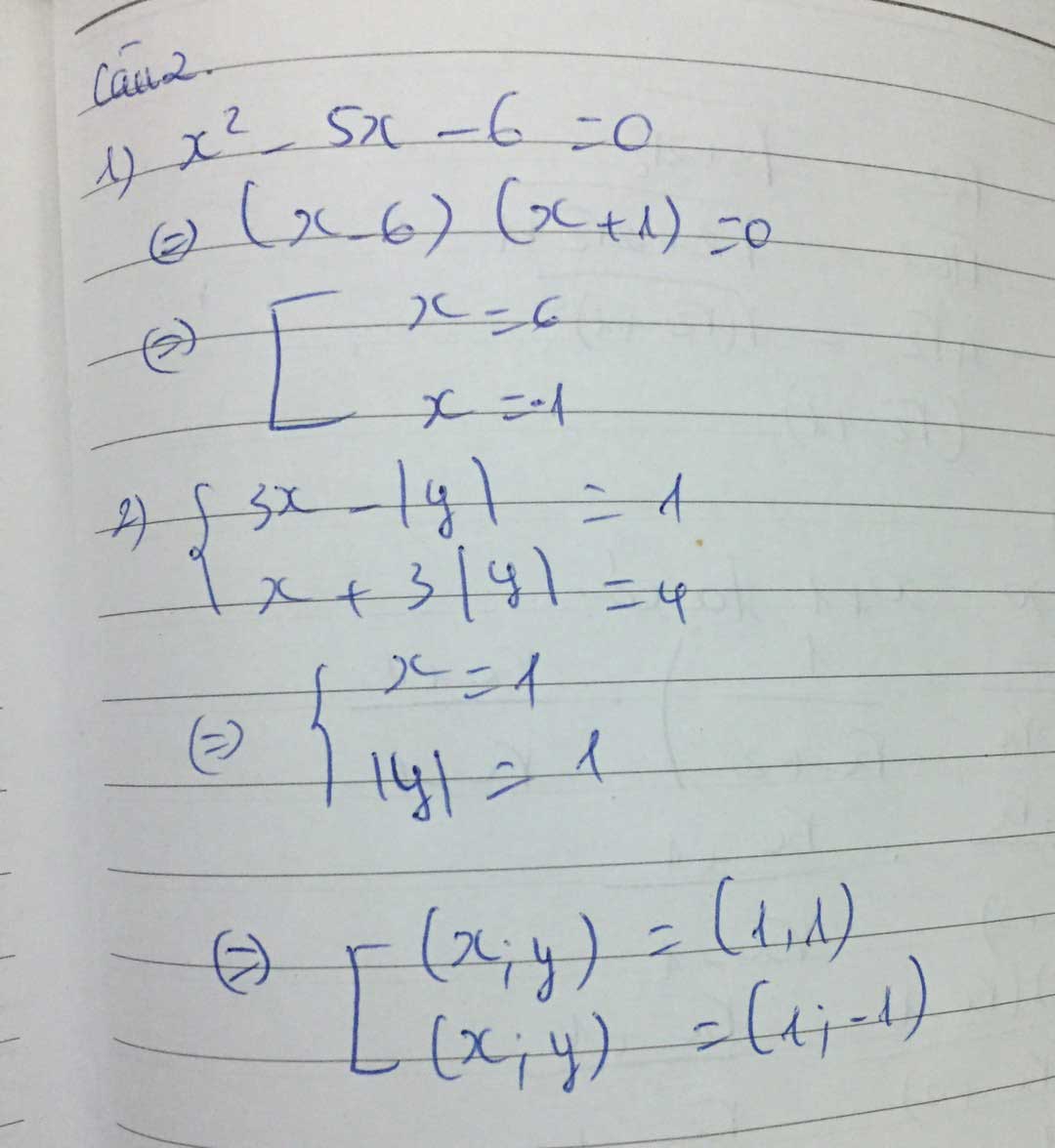
Đáp án đề thi tuyển sinh lớp 10 môn Toán chuyên tỉnh Hà Nam năm 2020





Trên đây VnDoc đã hướng dẫn các bạn giải Đề thi tuyển sinh lớp 10 môn Toán chuyên năm 2020 Sở GD&ĐT Hà Nam. Hy vọng với đề thi này sẽ là tài liệu hữu ích cho các bạn tham khảo chuẩn bị cho kì thi vào lớp 10 THPT sắp tới.
- 95 Đề thi tuyển sinh vào lớp 10 môn Toán
- 40 Đề thi Toán vào lớp 10 chọn lọc
- 21 Đề thi vào lớp 10 môn Toán
- Đề thi tuyển sinh lớp 10 môn Văn chung năm 2020 Chuyên Lê Hồng Phong
- Đề thi tuyển sinh vào lớp 10 môn Toán năm 2020 Trường Phổ Thông Năng Khiếu, Thành Phố Hồ Chí Minh (không chuyên)
- Đề thi tuyển sinh vào lớp 10 môn Toán năm 2020 Trường THPT Chuyên KHTN, Hà Nội (vòng 2)
- Đề thi tuyển sinh lớp 10 môn Toán chuyên năm 2020 KHXH&NV
- Đáp án đề thi tuyển sinh lớp 10 môn Toán chuyên năm 2020 THPT Hoàng Văn Thụ
.............................................
Ngoài Đề thi tuyển sinh lớp 10 môn Toán chuyên năm 2020 Sở GD&ĐT Hà Nam. Mời các bạn học sinh còn có thể tham khảo các đề thi học kì 2 lớp 9 các môn Toán, Văn, Anh, Lý, Địa, Sinh mà chúng tôi đã sưu tầm và chọn lọc. Với đề Thi vào lớp 10 năm 2026 này giúp các bạn rèn luyện thêm kỹ năng giải đề và làm bài tốt hơn. Chúc các bạn ôn thi tốt