Đề khảo sát Toán 9 vòng 2 đợt 1 trường chuyên KHTN, Hà Nội năm 2024 - 2025
Đề KSCL môn Toán lớp 9 có đáp án
Lớp:
Lớp 9
Môn:
Toán
Dạng tài liệu:
Đề thi
Loại:
Tài liệu Lẻ
Loại File:
PDF
Phân loại:
Tài liệu Tính phí



Đề khảo sát môn Toán lớp 9 có đáp án
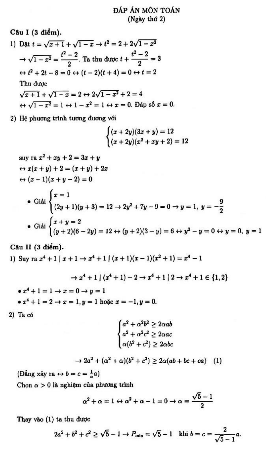
VnDoc giới thiệu đến quý thầy, cô giáo và các em học sinh Đề khảo sát Toán 9 vòng 2 đợt 1 trường chuyên KHTN, Hà Nội năm 2024 - 2025. Tài liệu tổng hợp nhiều đề thi khác nhau có đáp án và hướng dẫn chấm điểm.
Ngoài tài liệu trên, VnDoc còn gửi tới các bạn nhiều tài liệu tuyển sinh vào lớp 10 các môn để giúp các em ôn luyện, làm quen với nhiều đề thi khác nhau, chuẩn bị cho kì thi tuyển sinh vào lớp 10 năm học 2025 - 2026.