Đề khảo sát Toán 9 trường THCS Xi Măng, Thanh Hóa năm 2024 - 2025
Đề KSCL môn Toán lớp 9
Lớp:
Lớp 9
Môn:
Toán
Dạng tài liệu:
Đề thi
Loại:
Tài liệu Lẻ
Loại File:
PDF
Phân loại:
Tài liệu Tính phí

TRƯỜNG THCS XI MĂNG
ĐỀ A
ĐỀ KHẢO SÁT MÔN TOÁN LỚP 9
NĂM HỌC 2024 - 2025
Thời gian làm bài: 120 phút (Không kể thời gian giao đề)
Ngày thi: Ngày tháng năm 2025
Đề gồm có 02 trang, 15 câu
I.PHẦN TRẮC NGHIỆM (2,0 điểm mỗi câu đúng được 0,25 điểm)
Hãy chọn phương án trả lời đúng và viết chữ cái đứng trước phương án đó vào bài làm.
Câu 1. Trong các phương trình sau phương trình nào là phương trình bậc hai một ẩn?
A.
2
1
2024 2025 0x
x
. B.
2 3
2024 2025 0x x
.
C.
2
2024 2025 0x x
D.
4 2
2022 2021 0x x
.
Câu 2. Kết quả rút gọn của biểu thức
2
64a
với
0a
là
A.
8 .a
B.
4 .a
C.
4 .a
D.
8 .a
Câu 3. Cho hàm số
2
y ax
có đồ thị như hình vẽ bên. Hàm số đó là
x
1
1
2
O
y
A.
2
.y x
B.
2
2 . y x
C.
2
2 .y x
D.
2
.y x
Câu 4. Điều kiện xác định của biểu thức
1 2A x
là?
A.
1
.
2
x
B.
1
.
2
x
C.
1
.
2
x
D.
1
.
2
x
Câu 5. Một con sông rộng
150 .m
Một chiếc đò chèo vuông góc với dòng nước, do nước chảy
mạnh nên bơi
300m
mới sang tới bờ bên kia. Hỏi dòng nước đã dạt chiếc đò một góc bằng bao
nhiêu
A.
30 .
B.
45 .
C.
60 .
D.
70 .
Câu 6.
Cho
;O R
. Đường thẳng
d
là tiếp tuyến của đường tròn
;O R
tại tiếp điểm
A
khi:
A.
d OA
tại
A
và
A O
B.
d OA
C.
A O
D.
d OA
Câu 7: Gieo một con xúc sắc 45 lần cho kết quả như sau:
Số chấm xuất hiện
1
2
3
4
5
6
Số lần xuất hiện
5
?
8
7
6
10
Số lần xuất hiện của mặt 2 chấm là:
A. 7 B. 9 C. 6 D. 10
Câu 8: Một túi đựng các quả cầu có kích cỡ giống nhau và khối lượng giống hệt nhau, khác
nhau về màu trong đó 25 quả màu đỏ, 40 quả màu tím, 12 quả màu vàng, 10 quả màu trắng và
15 quả màu đen. Xác xuất để lấy được quả không phải màu đen là:

A.
25
102
B.
20
61
C.
5
61
D.
87
102
II. PHẦN TỰ LUẬN (8,0 điểm)
Câu 9.(1,5 điểm ):
a) Giải phương trình
2
5 6 0x x
.
b) Giải hệ phương trình:
3 2 2
.
2 6
x y
x y
Câu 10.(1,0 điểm) Rút gọn biểu thức
2 9 2 1 3
5 6 3 2
A
a a a
aa a a
(với
0; 4; 9a a a
.
Câu 11. (1,0 điểm)
Cho phương trình
2
2( 2) 3 0mx m x m
(với
m
là tham số và m
0)
Tìm các giá trị của m để phương trình có hai nghiệm
1 2
,x x
thỏa mãn
2 2
1 2
1x x
Câu 12. ( 1,0 điểm) ). Tháng thứ nhất hai đội sản xuất được
1100
sản phẩm. Sang tháng thứ
hai, đội
I
làm vượt mức
15%
và đội
II
làm vượt mức
20%
so với tháng thứ nhất, vì vậy cả
hai đội đã làm được
1295
sản phẩm. Hỏi trong tháng thứ nhất mỗi đội làm được bao nhiêu sản
phẩm ?
Câu 13. (1,0 điểm). Biết tại hai điểm
,A B
cách nhau 500 m, người ta nhìn thấy đỉnh núi với
góc nắng lần lượt là 34
và 58
.Tính chiều cao của ngọn núi ( làm tròn đến phần nguyên).
(CD là chiều cao của ngọn núi)
Câu 14. (2 điểm) Cho đường tròn
O
đường kính
AB
. Gọi
H
là điểm nằm giữa
O
và
B
. Kẻ
dây
CD
vuông góc với
AB
tại
H
. Trên cung nhỏ
AC
lấy điểm
E
bất kỳ (
E
khác
A
và
C
).
Từ
C
, kẻ
CK
vuông góc với
AE
tại
K
(
K AE
)
. Đường thẳng
DE
cắt
CK
tại
F
.
a) Chứng minh 4 điểm
, , ,A H C K
cùng thuộc một đường tròn.
b) Chứng minh
KH
song song với
ED
và tìm vị trí của điểm
E
để diện tích tam giác
ADF
lớn nhất.
Câu 15 (0,5 điểm). Người ta muốn làm một vườn rau có dạng hình chữ nhật
ABCD
có diện
tích
2
640m
, để tạo thêm cảnh quan xung quanh đẹp hơn, người ta mở rộng thêm bốn phần diện
tích để trồng hoa, tạo thành một hình tròn như hình vẽ, biết tâm hình tròn trùng với giao điểm
hai đường chéo của hình chữ nhật. Khi đó chọn kích thước cạnh
ABCD
như thế nào để diện
tích của bốn phần đất trồng hoa nhỏ nhất?
-------------- Hết-----------

HƯỚNG DẪN CHẤM ĐỀ KHẢO SÁT LỚP 9
NĂM HỌC 2025 - 2026
MÔN TOÁN
Phần I: Trắc nghiệm khách quan ( 2,0 điểm), mỗi ý đúng 0,25 điểm
Câu
1
2
3
4
5
6
7
8
Đáp án
C
D
C
A
C
A
B
D
Phần II: Tự luận ( 8 điểm)
Câu
Nội dung
Điểm
9a
Nhận thấy đây là phương trình bậc 2 ẩn x có dạng :
a + b+c = 1+ 5 - 6 = 0
Nên phương trình có hai nghiệm phân biệt x
1
= 1 và x
2
= -6
Vậy phương trình có hai nghiệm x
1
= 1 và x
2
= -6
0,25
0,5
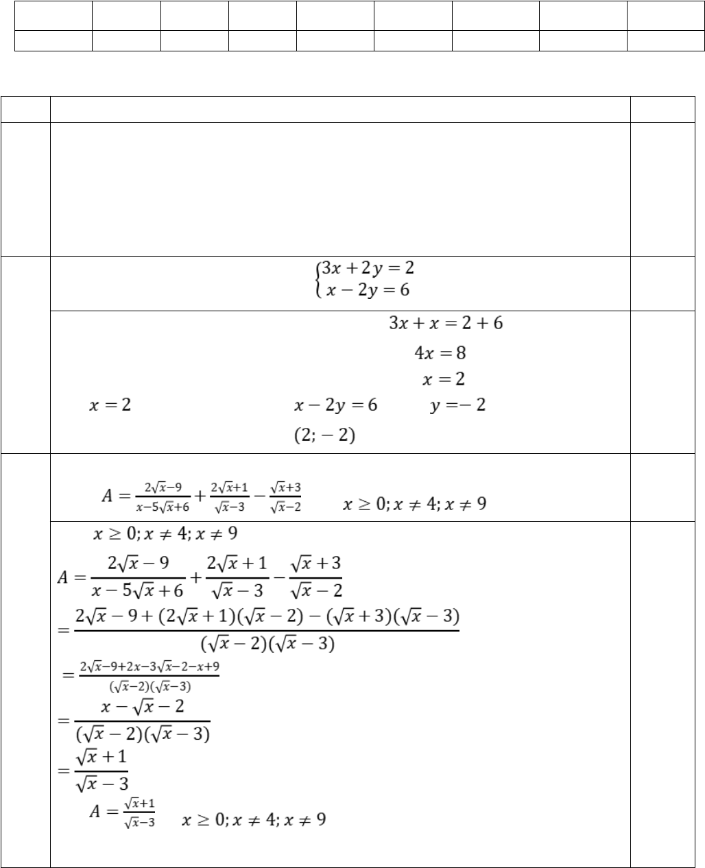
9b
Giải hệ phương trình:
0,75
Cộng hai phương trình trên vế với vế ta được:
Với thay vào phương trình suy ra
Vậy hệ phương trình có nghiệm
0,25
0,25
0,25
10
Rút gọn biểu thức
(với ).
1,0
Với
Vậy với
0,25
0,25
0,25
0,25
Đề khảo sát môn Toán lớp 9
VnDoc giới thiệu đến quý thầy, cô giáo và các em học sinh Đề khảo sát Toán 9 trường THCS Xi Măng, Thanh Hóa năm 2024 - 2025. Đề thi gồm cả trắc nghiệm và tự luận, thời gian làm bài 120 phút. Mời các bạn tham khảo chi tiết sau đây.
Ngoài tài liệu trên, VnDoc còn gửi tới các bạn nhiều tài liệu tuyển sinh vào lớp 10 các môn để giúp các em ôn luyện, làm quen với nhiều đề thi khác nhau, chuẩn bị cho kì thi tuyển sinh vào lớp 10 năm học 2025 - 2026.