Đề kiểm tra học kì 1 môn Hóa học lớp 10 năm học 2014 - 2015 trường THPT Châu Thành 1, Đồng Tháp
Đề kiểm tra học kì 1 môn Hóa học lớp 10
Đề kiểm tra học kì 1 môn Hóa học lớp 10 năm học 2014 - 2015 trường THPT Châu Thành 1, Đồng Tháp là đề thi học kì I lớp 10 dành cho các bạn học sinh tham khảo nhằm củng cố kiến thức. Đề thi môn Hóa có đáp án đi kèm, thuận tiện hơn khi luyện tập và kiểm tra kết quả. Chúc các bạn học tốt.
Đề kiểm tra học kì 1 môn Sinh học lớp 10 năm học 2014 - 2015 trường THPT Châu Thành 1, Đồng Tháp
Đề kiểm tra học kì 1 môn Lịch sử lớp 10 năm học 2014 - 2015 trường THPT Châu Thành 1, Đồng Tháp
|
SỞ GIÁO DỤC VÀ ĐÀO TẠO TỈNH ĐỒNG THÁP
ĐỀ CHÍNH THỨC (Đề gồm có 01 trang) |
KIỂM TRA HỌC KÌ I Năm học: 2014-2015 Môn thi: HÓA HỌC - Lớp 10 Ngày thi: 24 /12 /2014 Thời gian: 45 phút (không kể thời gian phát đề) |
I. PHẦN CHUNG CHO TẤT CẢ THÍ SINH (8,0 điểm)
Câu I. (1,0 điểm)
- Hãy cho biết số lượng hạt proton, hạt nơtron, hạt electron có trong nguyên tử P.
- Hãy viết cấu hình electron của nguyên tử P.
Câu II. (3,0 điểm) Hai nguyên tố X, Y có cấu hình electron nguyên tử lần lượt là
X: 1s2 2s2 2p6 3s2 3p3; Y: 1s2 2s2 2p6 3s2 3p4.
- Hãy cho biết vị trí (chu kì, nhóm) của nguyên tố X và Y trong bảng tuần hoàn.
- Hãy cho biết công thức oxit cao nhất và công thức hợp chất khí với hiđro của X, Y.
- Hãy so sánh tính kim loại (hoặc tính phi kim) và giá trị độ âm điện của X với Y.
Câu III. (1,0 điểm) Hãy viết công thức electron và công thức cấu tạo của phân tử CO2.
Câu IV. (2,0 điểm) Hãy cân bằng phản ứng oxi hóa – khử sau theo phương pháp thăng bằng electron:
Mg + H2SO4 → MgSO4 + S + H2O
Câu V. (1,0 điểm) Đồng có hai đồng vị bền là 6529Cu và 6329Cu. Biết nguyên tử khối trung bình của đồng là 63,54. Tính thành phần phần trăm theo khối lượng của đồng vị 6529Cu trong CuSO4 (cho S = 32; O = 16).
II. PHẦN RIÊNG - Tự chọn (2,0 điểm)
Thí sinh chỉ chọn một trong hai câu (câu VI.a hoặc câu VI.b)
Câu VI.a. Theo chương trình Chuẩn (2,0 điểm)
Một nguyên tử X có tổng các hạt cơ bản là 40, trong đó số hạt mang điện nhiều hơn số hạt không mang điện là 12. Hãy cho biết:
- Số hiệu nguyên tử, số khối của X.
- Kí hiệu hóa học, kí hiệu nguyên tử của X.
Câu VI.b. Theo chương trình Nâng cao (2,0 điểm)
Cation X2+ có tổng các hạt cơ bản là 90, trong đó số hạt mang điện nhiều hơn số hạt không mang điện là 22. Hãy cho biết:
- Số hiệu nguyên tử, số khối của X.
- Cấu hình electron của X và của X2+.
Đáp án đề kiểm tra học kì 1 môn Hóa học lớp 10
I. PHẦN CHUNG CHO TẤT CẢ THÍ SINH (8,0 điểm)
Câu I. (1,0 điểm)
- Số hạt P = 15
- Số hạt N = 16
- Số hạt E = 15
- Cấu hình e đúng
Câu II. (3,0 điểm)
- X thuộc chu kì 3, nhóm VA
- Y thuộc chu kì 3, nhóm VIA
- Công thức oxit cao nhất: X2O5; YO3
- Công thức hợp chất khí với hidro: XH3, YH2
- Tính phi kim: X yếu hơn Y
- Độ âm điện: X nhỏ hơn Y
Câu III. (1,0 điểm)
- Công thức e đúng
- CTCT đúng
Câu IV. (2,0 điểm)
- Xác định đúng số oxi hóa của Mg, S trước và sau phản ứng
- Quá trình oxi hóa đúng
- Quá trình khử đúng
- Hoàn chỉnh cân bằng
Câu V. (1,0 điểm)
- Tính được % số nguyên tử của Cu65 = 27%
- Tính được % khối lượng của Cu65 trong CuSO4 = 11,00%
![]()
(Lưu ý: M của CuSO4 = 159,54)
II. PHẦN RIÊNG - Tự chọn (2,0 điểm)
Câu VI.a. Theo chương trình Chuẩn (2,0 điểm)
- Hệ phương trình đúng

- Giải được Z = 13; N = 14
- Số hiệu nguyên tử là 13; số khối = 27
- Kí hiệu hóa học: Al; kí hiệu nguyên tử Al
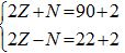
Câu VI.b. Theo chương trình Nâng cao (2,0 điểm)
- Hệ phương trình đúng

- Giải được Z = 29; N = 34
- Số hiệu nguyên tử là 29; số khối = 63
- Cấu hình e của X: 1s2 2s2 2p6 3s2 3p6 3d10 4s1
- Cấu hình e của X2+: 1s2 2s2 2p6 3s2 3p6 3d9
