Đề kiểm tra học kì 1 môn Vật lý lớp 10 năm học 2014 - 2015 trường THPT Châu Thành 1, Đồng Tháp
Đề kiểm tra học kì 1 môn Vật lý lớp 10
Đề kiểm tra học kì 1 môn Vật lý lớp 10 năm học 2014 - 2015 trường THPT Châu Thành 1, Đồng Tháp là đề thi học kì 1 lớp 10 được VnDoc.com sưu tầm và đăng tải. Đề thi môn Vật lý 10 có đáp án sẽ là tài liệu hữu ích giúp các bạn học sinh ôn tập và chuẩn bị kiến thức hiệu quả để ôn thi học kì 1. Mời các bạn tham khảo.
Đề thi học kì 1 môn Vật lý lớp 10 trường THPT Đa Phúc, Hà Nội năm học 2016 - 2017
Đề kiểm tra học kì 1 môn Ngữ văn lớp 10 năm học 2014 - 2015 trường THPT Châu Thành 1, Đồng Tháp
Đề kiểm tra học kì 1 môn Toán lớp 10 năm học 2014 - 2015 trường THPT Châu Thành 1, Đồng Tháp
|
SỞ GIÁO DỤC VÀ ĐÀO TẠO TỈNH ĐỒNG THÁP
ĐỀ CHÍNH THỨC (Đề gồm có 01 trang) |
KIỂM TRA HỌC KÌ I Năm học: 2014-2015 Môn thi: VẬT LÝ - Lớp 10 Ngày thi: 22/12/2014 Thời gian: 45 phút (không kể thời gian phát đề) |
I. PHẦN CHUNG CHO TẤT CẢ THÍ SINH (8,0 điểm)
Câu I. (1,0 điểm)
Chuyển động cơ là gì? Lấy ví dụ về chuyển động cơ.
Câu II. (1,0 điểm)
Định nghĩa sự rơi tự do.
Câu III. (1,0 điểm)
Phát biểu định luật I Niu-tơn.
Câu IV. (1,0 điểm)
Một lò xo có độ cứng k = 100 N/m treo thẳng đứng, đầu dưới có gắn vật nhẹ. Khi vật ở trạng thái cân bằng, lò xo dãn ra 2 cm. Tìm lực đàn hồi tác dụng vào vật.
Câu V. (2,0 điểm)
Một chiếc xe đang chuyển động với vận tốc 54 km/h thì người lái xe phát hiện có một vật cản trước mặt, cách vị trí của xe 30 m nên hãm phanh, làm xe chuyển động chậm dần đều. Sau khi hãm phanh 3s, vận tốc của xe còn 10,8 km/h.
- Tìm gia tốc của xe.
- Xe có kịp dừng lại trước khi gặp vật cản không?
Câu VI. (2,0 điểm)
Một vật có khối lượng m = 2kg, đang nằm yên thì được kéo bởi lực F = 5N có phương ngang, làm vật dịch chuyển trên mặt sàn. Trong suốt quá trình chuyển động, vật chịu tác dụng của lực cản Fc có độ lớn không đổi 2 N.
- Tìm gia tốc của xe.
- Sau khi vật chuyển động 2 s thì lực kéo F ngừng tác dụng lên vật. Tìm quãng đường vật đi thêm được từ khi lực F ngừng tác dụng đến khi vật dừng lại.
II. PHẦN RIÊNG - Tự chọn (2,0 điểm)
Thí sinh chỉ chọn một trong hai câu (câu VII.a hoặc câu VII.b)
Câu VII.a. Theo chương trình Chuẩn (2,0 điểm)
Một người dùng đòn gánh dài 1m để gánh hai thúng gạo và khoai. Biết thúng gạo có trọng lượng 300 N, thúng khoai có trọng lượng 200 N. Bỏ qua trọng lượng của đòn gánh.
- Người đó chịu lực bằng bao nhiêu?
- Vai người đó phải đặt cách thúng gạo bao nhiêu để gánh được dễ dàng nhất?
Câu VII.b. Theo chương trình Nâng cao (2,0 điểm)
Kim phút của đồng hồ treo tường dài 8 cm. Coi chuyển động của đầu mút kim phút là chuyển động tròn đều. Tính:
- Tốc độ góc của kim phút.
- Tốc độ dài của đầu mút kim phút.
Đáp án đề kiểm tra học kì 1 môn Vật lý lớp 10
Câu I (1,0 đ)
- Chuyển động cơ là sự thay đổi vị trí của một vật so với vật khác theo thời gian
- Lấy đúng được 01 ví dụ của chuyển động cơ
Câu II (1,0 đ)
- Sự rơi tự do là sự rơi của một vật chỉ dưới tác dụng của trọng lực
Câu III (1,0 đ)
- Nếu một vật không chịu tác dụng của lực nào, hoặc chịu tác dụng của các lực có hợp lực bằng 0.... thì nó giữ nguyên trạng thái đứng yên hoặc chuyển động thẳng đều
Câu IV (1,0 đ)
- Lực đàn hồi tác dụng lên vật
- Viết đúng được công thức: Fdh = k|Δl|
- Tính đúng: Fdh = 100.0,02 = 2N
Câu V (2,0 đ)
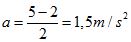
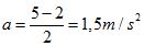
1. Chọn gốc thời gian lúc xe hãm phanh.
- Chiều dương là chiều chuyển động
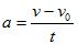
- Viết đúng công thức tính gia tốc của vật:

- Thay số, tính đúng:

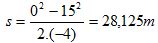
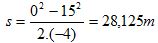
2. Khi dừng lại, vận tốc của xe bằng 0.
- Tìm được quãng đường xe đi được từ lúc hãm phanh đến lúc dừng lại: s = (v2 - vo2)/2a
- Tính đúng:

Kết luận: Vì: s < 30m nên xe kịp dừng lại trước khi va vào vật.
Câu VI (2,0 đ)
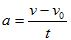
1. Chọn chiều dương là chiều chuyển động, gốc thời gian lúc kéo vật
- Viết đúng phương trình định luật II Niu-tơn cho vật:

- Thay số tính đúng gia tốc của vật:

2. Tính được vận tốc của vật khi lực F ngừng tác dụng: v = vo + at = 0 + 1,5.2 = 3 m/s
- Tìm được gia tốc của vật khi lực F ngừng tác dụng: a' = -Fc/m = -1 m/s2
- Tìm được quãng đường đi thêm: s = -v2/2a' = 4,5 m
Câu VII.a (2,0 đ)
1. Vai người đó chịu một lực:
- Viết đúng công thức: F = F1 + F2
- Tính đúng: F = 300 + 200 = 500N
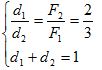
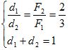
2. Viết đúng được hệ phương trình 
- Giải ra được: d1 = 0,4 m
- Kết luận: vai đặt cách thúng gạo 0,4m
Câu VII.b (2,0 đ)
1. Viết đúng công thức tính tốc độ góc: ω = 2π/T
Thay số đúng, tính đúng: 
2. Viết đúng công thức: v = Rω
Tính đúng: v = 1,396.10-4 m/s
Ghi chú:
- Học sinh làm bài theo cách khác, đảm bảo lý luận đúng, cho ra kết quả đúng thì vẫn cho trọn điểm phần bài làm tương ứng.
- Trừ điểm do sai đơn vị: sai 01 đơn vị bị trừ 0,25 điểm; sai từ 02 đơn vị trở lên trừ 0,5 điểm cho toàn bài thi.