Đề KSCL môn Toán lớp 12 năm 2018 Sở GD&ĐT Cần Thơ



Đề KSCL môn Toán lớp 12 năm 2018
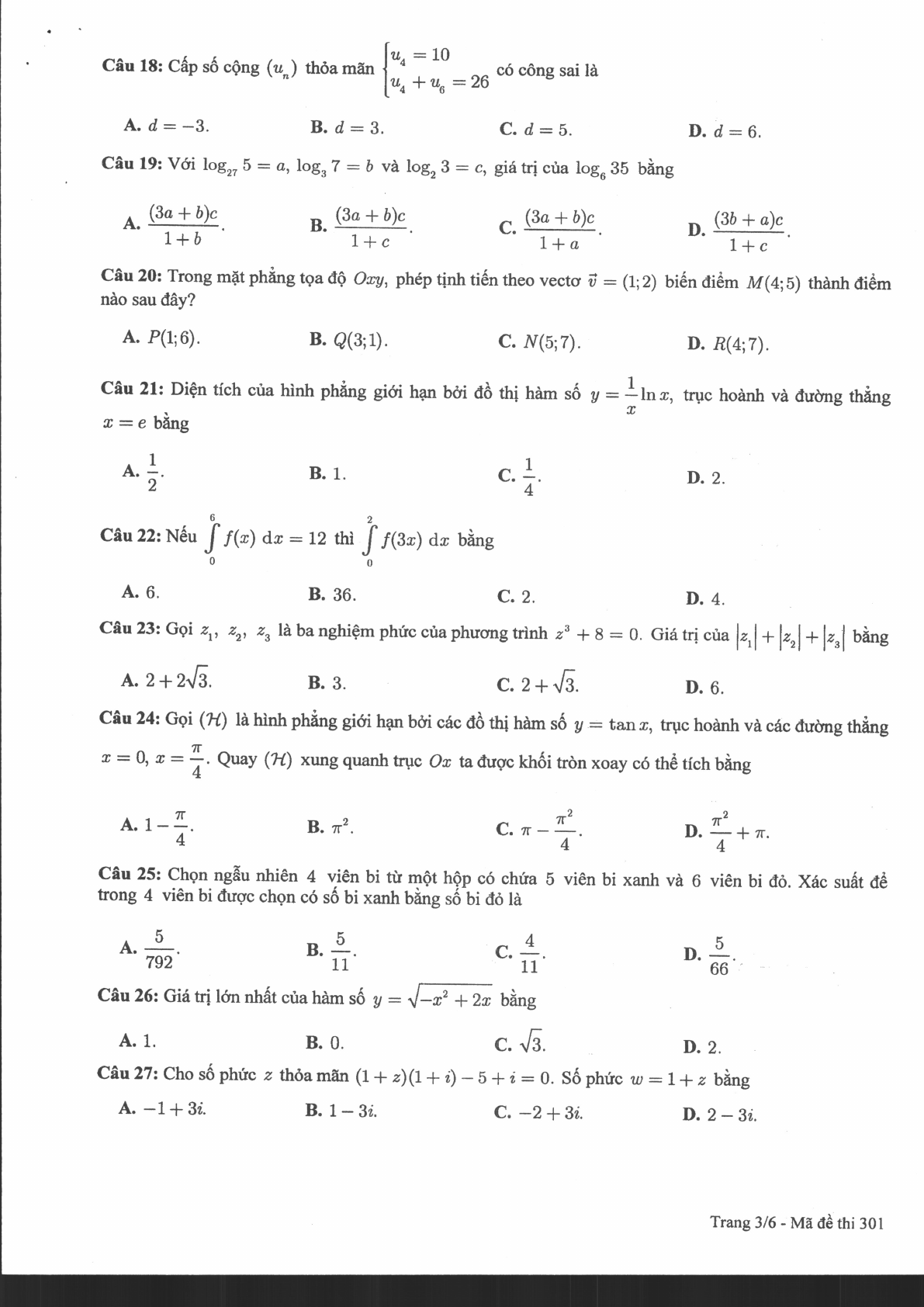
VnDoc xin giới thiệu tới bạn đọc Đề KSCL môn Toán lớp 12 năm 2018 Sở GD&ĐT Cần Thơ, nội dung tài liệu gồm 50 câu hỏi trắc nghiệm, thời gian làm bài 90 phút, đề thi có đáp án. Mời các bạn học sinh thử sức.
Đề thi học kì 2 môn Toán lớp 12 năm 2017 - 2018 trường THPT Tân Hiệp - Kiên Giang
Đề thi học kì 2 môn Toán lớp 12 năm 2017 - 2018 trường THPT Ngô Quyền - Quảng Ninh
Đề thi học kì 2 môn Toán lớp 12 năm học 2017 - 2018 trường THPT Duyên Hải - Trà Vinh
Đề thi học kì 2 môn Toán lớp 12 năm 2018 trường THPT Hưng Nhân - Thái Bình
Đề thi học kì 2 lớp 12 môn Toán năm 2018 Sở GD&ĐT Gia Lai
Đề thi học kì 2 lớp 12 môn Toán năm 2018 trường THPT Lê Hồng Phong - Khánh Hòa
---------------------------------------------
Trên đây VnDoc.com đã giới thiệu tới bạn đọc tài liệu: Đề KSCL môn Toán lớp 12 năm 2018 Sở GD&ĐT Cần Thơ. Để có kết quả cao hơn trong học tập, VnDoc xin giới thiệu tới các bạn học sinh tài liệu Thi thpt Quốc gia môn Toán, Thi thpt Quốc gia môn Hóa học, Thi thpt Quốc gia môn Vật Lý, Thi thpt Quốc gia môn Sinh học mà VnDoc đã tổng hợp và đăng tải.