Đề thi chọn học sinh giỏi môn Toán THPT cấp tỉnh năm 2018 - 2019 Sở GD&ĐT Phú Yên
Đề thi chọn HSG Toán THPT năm 2019
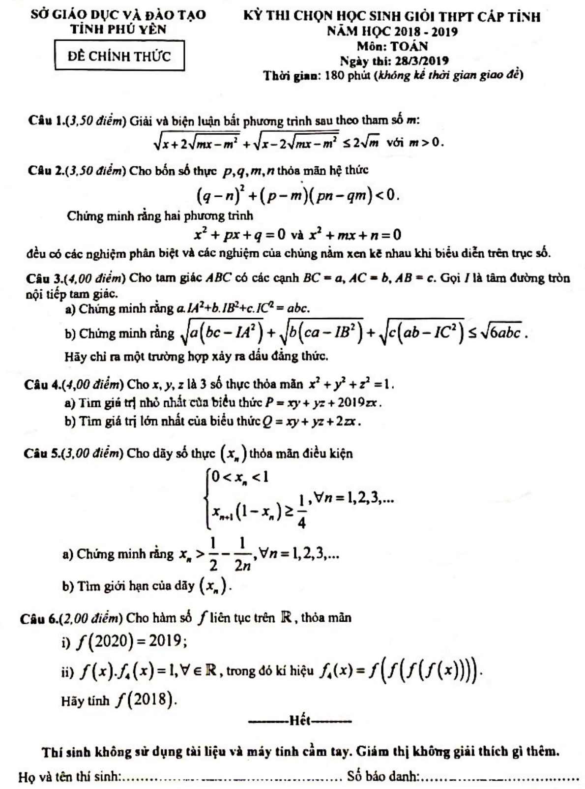
VnDoc xin giới thiệu tới bạn đọc Đề thi chọn học sinh giỏi môn Toán THPT cấp tỉnh năm 2018 - 2019 Sở GD&ĐT Phú Yên. Nội dung tài liệu gồm 6 câu hỏi bài tập, thời gian làm bài 180 phút. Mời các bạn học sinh tham khảo.
- Đề thi chọn học sinh giỏi lớp 12 môn Toán cấp thành phố năm 2018 - 2019 Sở GD&ĐT TP. Hồ Chí Minh
- Đề thi chọn học sinh giỏi lớp 12 môn Toán cấp tỉnh năm 2018 - 2019 Sở GD&ĐT Bến Tre
- Đề thi chọn học sinh giỏi lớp 12 môn Toán cấp thành phố năm 2018 - 2019 Sở GD&ĐT Cần Thơ
- Đề thi chọn học sinh giỏi lớp 12 môn Toán năm 2018 - 2019 Sở GD&ĐT Hà Nam
- Đề thi chọn học sinh giỏi lớp 12 môn Toán cấp tỉnh năm 2018 - 2019 Sở GD&ĐT Bắc Ninh
- Đề thi chọn học sinh giỏi lớp 12 môn Toán cấp tỉnh năm 2018 - 2019 Sở GD&ĐT Bắc Giang
- Đề thi chọn học sinh giỏi lớp 12 môn Toán năm 2018 - 2019 Sở GD&ĐT Nam Định
Trên đây VnDoc đã giới thiệu tới bạn đọc Đề thi chọn học sinh giỏi môn Toán THPT cấp tỉnh năm 2018 - 2019 Sở GD&ĐT Phú Yên. Để có kết quả cao hơn trong học tập, VnDoc xin giới thiệu tới các bạn học sinh tài liệu Thi thpt Quốc gia môn Toán, Thi thpt Quốc gia môn Hóa học, Thi thpt Quốc gia môn Vật Lý, Thi thpt Quốc gia môn Sinh học mà VnDoc tổng hợp và đăng tải.
