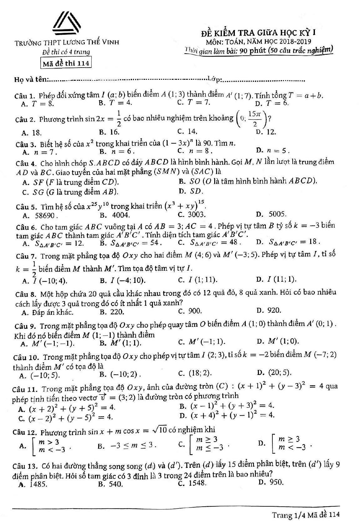
Đề thi giữa kì 1 Toán 11 năm 2018 - 2019 trường THPT Lương Thế Vinh - Hà Nội
Đề thi giữa kì 1 Toán 11
VnDoc mời các bạn tham khảo Đề thi giữa kì 1 Toán 11 năm 2018 - 2019 trường THPT Lương Thế Vinh - Hà Nội. Tài liệu gồm 50 câu hỏi trắc nghiệm, thời gian làm bài 90 phút. Mời các bạn tham khảo.
Đề thi giữa kì 1 Toán 11 năm 2018 - 2019 trường THPT Việt Nam - Ba Lan - Hà Nội
Đề cương ôn tập học kì 1 Toán 11 năm 2018 - 2019 trường THPT Yên Hòa - Hà Nội
Đề thi giữa kì 1 Toán 11 năm 2018 - 2019 trường THPT B Thanh Liêm - Hà Nam
Đề thi khảo sát Toán 11 năm 2018 - 2019 trường THPT Nguyễn Đăng Đạo - Bắc Ninh lần 1
Để có kết quả cao hơn trong học tập, VnDoc xin giới thiệu tới các bạn học sinh tài liệu Sinh học lớp 11, Vật lý lớp 11, Hóa học lớp 11, Giải bài tập Toán 11, Tài liệu học tập lớp 11 mà VnDoc tổng hợp và đăng tải.


