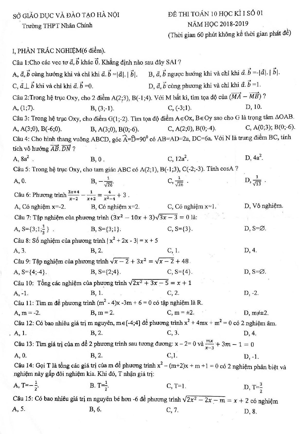
Đề thi học kì 1 lớp 10 môn Toán năm 2018 - 2019 trường THPT Nhân Chính - Hà Nội
Đề thi học kì 1 Toán 10 năm 2018 - 2019
VnDoc xin giới thiệu tới bạn đọc Đề thi học kì 1 lớp 10 môn Toán năm 2018 - 2019 trường THPT Nhân Chính - Hà Nội. Tài liệu được biên soạn theo hình thức trắc nghiệm khách quan kết hợp với tự luận, trong đó phần trắc nghiệm gồm 15 câu, chiếm 6 điểm, phần tự luận gồm 4 câu, chiếm 4 điểm, thời gian làm bài 60 phút. Mời các bạn tham khảo.
- Bộ đề thi học kì 1 lớp 10 môn Toán năm 2017 - 2018
- Đề thi học kì 1 Toán 10 năm 2018 - 2019 trường THPT Marie Curie - TP. HCM
- 10 bộ đề thi học kì 1 môn Toán lớp 10
- Đề thi học kì 1 lớp 10 môn Toán năm 2018 - 2019 trường THPT Đoàn Kết - Hà Nội
-----------------------------
Trên đây VnDoc đã giới thiệu tới các bạn Đề thi học kì 1 lớp 10 môn Toán năm 2018 - 2019 trường THPT Nhân Chính - Hà Nội. Để có kết quả cao hơn trong học tập, VnDoc xin giới thiệu tới các bạn học sinh tài liệu Giải bài tập Toán 10, Giải bài tập Vật Lí 10, Giải bài tập Sinh học 10, Giải bài tập Hóa học 10, Tài liệu học tập lớp 10 mà VnDoc tổng hợp và đăng tải.

